时间:2019-06-29 05:29:30
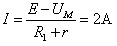
1、填空题 某同学将一直流电源的总功率PE、输出功率PR和电源内部的发热功率Pr随电流I变化的图线画在了同一坐标内,如右图所示,则电源内阻r=__________Ω,当电流为1.5A时,外电路的电阻R=__________Ω。
参考答案:4;4/3
本题解析:电源的总功率:
,则电源的电动势
;电源的输出功率
;电源内部的发热功率
,由图像知,当I=1A时,Pr=4W,则
;当电流为1.5A时,
,则
。
考点:电功率的计算.
本题难度:一般
2、计算题 如图所示,电源的电动势为E=10V,内阻r=0.5Ω,分压电阻R1=1.5Ω,电动机绕组电阻R0=1.0Ω,当开关S闭合时,电动机刚好正常工作,电压表的示数UM=6V。求:
(1)电路中的电流;
(2)电动机输出的机械功率;
(3)试计算整个电路因发热损失的电能占消耗电能的比例。 
参考答案:解:(1)电路中的电流
(2)电动机输出功率
(3)
发热损耗率
本题解析:
本题难度:一般
3、计算题 如图所示电路中,电源电动势E=12V,内阻r=2Ω,R1=4Ω,R2=6Ω,R3=3Ω。
(1)若在C、D间连一个理想电压表,其读数是多少?
(2)若在C、D间连一个理想电流表,其读数是多少? 
参考答案:解:(1)
理想电压表读数为UV=I1R2=6V
(2)若在C、D间连一个理想电流表,这时电阻R2与R3并联
并联电阻大小
根据闭合电路欧姆定律
理想电流表读数为
本题解析:
本题难度:一般
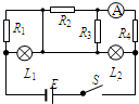
4、选择题 如图所示的电路,当闭合开关时,灯L1、L2正常发光.由于电路出现故障,突然发现灯L1变亮,灯L2变暗,电流表的读数变小.试根据上述现象判断,发生的故障可能是( )
A.R1断路
B.R2断路
C.R3短路
D.R4短路
参考答案:
A、R1断路时,外电路总电阻增大,总电流减小,则L2所在那部分电路电阻不变,则知灯L2变暗,电流表的读数变小,灯L1分担的电压增大,L1变亮,符合题意.故A正确.
B、R2断路时,外电路总电阻增大,总电流减小,R1与L1并联电压减小,L1变暗,与题不符.故B错误.
C、R3短路时,外电路总电阻减小,总电流增大,则灯L1分担的电压增大,L1变亮.R3的电压减小,电流表的读数变小.总电流增大,而电流表的读数变小,则灯L2增大,灯L2变亮.与题不符.故C错误.
D、R4短路时,外电路总电阻减小,总电流增大,则灯L1分担的电压增大,L1变亮.R3与灯L2被短路,灯L2熄灭,与题不符.故D错误.
故选A
本题解析:
本题难度:简单
5、简答题 如图所示,R1=14.0Ω,R2=9.0Ω.当开关S扳到位置1时,测得电流I1=0.20A;扳到位置2时,测得电流I2=0.30A.求电源的电动势和内阻.
参考答案:设电源的电动势和内阻分别为E和r,当开关分别处于1、2两个位置时,根据闭合电路的欧姆定律可以列出方程:
E=I1R1+I1r? ?①
E=I2R2+I2r? ②
消去E,可以解出电源的内阻r=I1R1-I2R2I2-I1=1.0Ω
把r值代入第一个方程中,可得电源的电动势E=3.0V
即电源的电动势为3.0V,内阻为1.0Ω.
本题解析:
本题难度:一般