时间:2019-06-28 06:09:11
1、选择题 如图所示为一交流电压随时间变化的图象。每个周期内,前三分之一周期电压按正弦规律变化,后三分之二周期电压恒定,根据图中数据可得,此交流电压的有效值为 
[? ]
A.7.5V
B.8 V
C.
D.
参考答案:C
本题解析:
本题难度:一般
2、选择题 交流发电机工作时的电动势的变化规律为 e=EmSinωt,如果转子的转速n提高一倍,其它条件不变,则电动势的变化规律将变化为:(?)
A.e=EmSin2ωt
B.e=2EmSin2ωt
C.e=2EmSin4ωt
D.e=2EmSinωt
参考答案:B
本题解析:交流电电动势的最大值为
,因为角速度
,所以角速度加倍,则电动势的最大值加倍,电动势的变化规律将变化为:e=2EmSin2ωt
故选B
本题难度:简单
3、填空题 如图所示为一交流电的电流随时间的变化图象,此交变电流的有效值为?A
参考答案:5A
本题解析:有效值定义是根据交流电热量定义,即
,所以有效值为5A
点评:本题考查了有效值的定义,通过交流电的热量来定义有效值的大小。
本题难度:简单
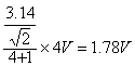
4、计算题 如图所示,匀强磁场的磁感应强度B=0.5T,边长L=10cm的正方形线圈abcd共100匝,线圈电阻r=1Ω,线圈绕垂直于磁感线的对称轴OO"匀速转动,角速度ω=2πrad/s,外电路电阻R=4Ω,求:
(1)转动过程中感应电动势的最大值;
(2)由图示位置(线圈平面与磁感线平行)转过60°角时的瞬时感应电动势;
(3)由图示位置转过60°角的过程中产生的平均感应电动势;
(4)交流电压表的示数;
(5)线圈转动一周外力所做的功;
(6)
周期内通过R的电荷量是多少? 
参考答案:解:(1)感应电动势的最大值为Em=NBωS=3.14 V
(2)转过60°角时的瞬时感应电动势为e=Emcos60°=3.14×0.5 V=1.57V
(3)转过60°角过程中产生的平均感应电动势为

(4)电压表示数为外电路电压的有效值
R=
(5)线圈转动一周外力所做的功等于电流产生的热量W=
(6)
周期内通过电阻R的电荷量为
本题解析:
本题难度:困难
5、选择题 某小型发电机产生的交变电动势为
(V),对此电动势,下列表述正确的有
A.最大值是
V
B.周期是0.02s
C.有效值是
V
D.频率是100Hz
参考答案:B
本题解析:由表达式知电动势最大值为
,选项A错误;周期
,选项B正确;有效值
,选项C错误;频率为
,选项D错误;故选B.
考点:本题考查了交流的峰值、有效值以及它们的关系.
本题难度:一般