时间:2019-06-28 04:27:12
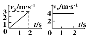
1、选择题 质量为1kg的物体在光滑水平面内做曲线运动,已知该物体在互相垂直方向上的两个分运动的vx-t和vy-t图像分别如图所示。则下列说法正确的是
[? ]
A.2s末质点的速度大小为7m/s
B.质点所受的合外力大小为1.5N
C.质点的初速度大小为5m/s
D.2s内的位移大小为11m
2、选择题 做曲线运动的物体,在运动过程中,一定变化的物理量是( )
A.速率
B.速度
C.动能
D.加速度
3、选择题 下列各物理量中,是矢量的是( )
A.平均速度
B.速率
C.加速度
D.路程
4、选择题 下列说法正确的是( )
A.曲线运动的物体的速度方向不是物体的运动方向
B.曲线运动物体在某点的速度方向即为该点的切线方向
C.曲线运动的速度大小可以变化,但速度方向一定不改变
D.速率大小不变的曲线运动是匀速运动
5、选择题 已知某船在静水中的速率为4m/s,现让船渡过某条河,假设这条河的两岸是理想的平行线,河宽为100米,河水的流动速率为5m/s,方向与河岸平行,则
[? ]
A.船不能垂直河岸渡河
B.欲使船渡过河去的航程最短,船头指向为斜向上游,与河岸成θ角,cosθ=0.8
C.最短航程是125米
D.船能垂直河岸渡河,最短航程是100米