高中物理高考知识点《匀变速直线运动基本公式应用》考点特训(2019年冲刺版)(十)

时间:2019-06-23 22:19:31

微信搜索关注"91考试网"公众号,领30元,获取事业编教师公务员等考试资料40G

1、计算题  若甲、乙两车在同一条平直公路上行驶,甲车以v1=10 m/s的速度做匀速运动,经过车站A时关闭油门以a1=4 m/s2的加速度匀减速前进。2 s后乙车与甲车同方向以a2=1 m/s2的加速度从同一车站A出发,由静止开始做匀加速直线运动。问乙车出发后经多长时间追上甲车?


参考答案:解:乙车出发时甲车具有的速度为:v1t=v1-a1t0=10 m/s-2×4 m/s=2 m/s
此时离甲车停止运动的时间
根据题设条件,乙车在0.5s内追不上甲车,也就是说乙车追上甲车时,甲车已经停止了运动。甲车停止时离车站A的距离
设乙车走完这段路程所需的时间为t,由,得:
故乙车出发后经过5 s追上甲车


本题解析:


本题难度:一般



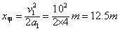
2、计算题  如图,一质量为5kg的滑块在F=15N的水平拉力作用下,由静止开始做匀加速直线运动,若滑块与水平地面间的动摩擦因数为0.2,g取10m/s2,问:滑块运动的加速度多大?滑块在力F作用下经5s通过的位移是多大?


参考答案:1m/s2? 12.5m


本题解析:略


本题难度:简单



3、选择题  物体以速度v匀速通过直线上的A、B两点,所用时间为t;现在物体从A点由静止出发,先匀加速直线运动(加速度为a1)到某一最大速度vm后立即做匀减速直线运动(加速度大小为a2)至B点速度恰好减为0,所用时间仍为t。则物体的
[? ]
A.vm只能为2v,与a1、a2的大小无关
B.vm可为许多值,与a1、a2的大小有关
C.a1、a2必须是一定的
D.a1、a2必须满足


参考答案:AD


本题解析:


本题难度:一般



4、计算题  A、B两列火车在同一轨道上同向行驶,A车在前,其速度为vA="10" m/s,B车在后,其速度为vB=30 m/s。因大雾能见度低,B车在距A车700 m时才发现前方有A车,这时B车立即刹车,但B车要经过1800 m才能停下。试通过计算说明A车若按原速度前进,两车是否会相撞?


参考答案:会


本题解析:
根据题意,B车刹车过程中的加速度为:aB== m/s2=0.25 m/s2, (2分)
B车减速至A车的速度所用时间t== s=80 s (2分)
在80 s内,A车位移xA=vAt=10×80 m=800 m, (2分)
B车位移xB=vBt-at2=(30×80-×0.25×802) m=1 600 m。
因xB=1 600 m>xA+700 m=1 500 m,
所以两车速度相等之前已经相撞。


本题难度:一般



5、选择题  2010年广州亚运会上中国男子运动员在4×100m接力比赛中勇夺冠军。某次甲乙两个运动员在直道上练习接力跑。他们在奔跑时有相同的最大速度。乙从静止开始全力奔跑需跑出25m才能达到最大,这一过程可以看做匀变速运动。现在甲持棒以最大速度向乙奔来,乙在接力区侍机全力奔出。若要求乙接棒时奔跑达到最大速度的80%,则乙在接力区须奔出距离是
[? ]
A.16m
B.18m
C.20m
D.25m


参考答案:A


本题解析:


本题难度:一般



Love will find a way. 爱心所至,金石为开.

首页 上页 9 10 下页 尾页 10/10/10
微信搜索关注"91考试网"公众号,领30元,获取公务员事业编教师考试资料40G
【省市县地区导航】【考试题库导航】
 ★ 高考省级导航 ★ 
全国 A安徽 B北京 C重庆 F福建 G广东 广西 甘肃 贵州 H河南 河北 湖南 湖北 黑龙江 海南 J江苏 江西 吉林 L辽宁 N内蒙古 宁夏 Q青海 S山东 山西 陕西 四川 上海 T天津 X新疆 西藏 Y云南 Z浙江
 ★ 高考信息汇总 ★ 
 ★ 高考历年真题 ★ 
 ★ 高考历年真题 ★ 
 ★ 高考题库 ★ 
 ★ 高考题库 ★ 

电脑版  |  手机版  |  返回顶部