时间:2019-06-23 21:57:23
1、选择题 质量为m的人造卫星在地面上未发射时的重力为G0,它在离地面的距离等于地球半径R的圆形轨道上运行时的( )
A.周期
| 2mR/G0 |
| 2G0R/M |
| 1 4 |
参考答案:
A:由GMmr2=mr4π2T2,解得:T=
本题解析:
本题难度:一般
2、选择题 2007年10月24日18时05分,我国首颗绕月探测卫星“嫦娥一号”在西昌卫星发射中心升空,随后“嫦娥一号”在地球轨道上进行四次变轨,卫星不断加速,进入地月转移轨道.接近月球后,通过三次近月制动,在11月7日建立起距月球两百公里的绕月球两极飞行的圆轨道,进行绕月探测飞行.通过在轨测试后,卫星将开始进行科学探测活动.已知月球表面的重力加速度约为地球表面重力加速度的
| 1 6 |
| 1 4 |
参考答案:A、忽略星球的自转则有万有引力等于物体的重力,当卫星贴近星球表面圆周运动运动时有
mg=m?4π2RT2
T=2π
本题解析:
本题难度:简单
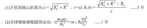
3、计算题 2010年10月1日,我国第二颗探月卫星“嫦娥二号”成功发射,成为绕月极地卫星。利用该卫星可对月球进行成像探测。设卫星绕月极地轨道的周期为TN,绕行半径为R;月球绕地球公转的周期为Tg,绕行半径为R0;地球半径为RE,月球半径为RN,光速为c。
小题1:如图所示,当绕月极地轨道的平面与月球绕地球公转的轨道平面垂直时(即与地心到月心的连线垂直时),求“嫦娥二号”向地面发送照片所需要的时间;
小题2:忽略地球引力、太阳引力对绕月卫星的影响,求月球与地球的质量之比;
小题3:忽略地球、月球自转影响,求月球与地球表面重力加速度之比。
参考答案:
小题1:
?
小题2:
小题3:
本题解析:

本题难度:一般
4、选择题 “静止”在赤道上空的地球同步气象卫星把广阔视野内的气象数据发回地面,为天气预报提供准确、全面和及时的气象资料.设地球同步卫星的轨道半径是地球半径的n倍,下列说法中正确的是( )
A.同步卫星运行速度是第一宇宙速度的
| 1 n |
| 1 n |
D.同步卫星的向心加速度是地球表面重力加速度的
|