时间:2019-05-21 05:26:02
1、实验题 实际电流表有内阻,现在要测量实际电流表
的内阻
.供选择的仪器如下:
A.待测电流表
(
,内阻约300Ω) B.电流表
(
,内阻约100Ω)
C.电压表V1(量程6V,内阻未知) D.电压表V2(量程15V,内阻未知)
E.滑动变阻器
(
Ω) F.滑动变阻器
(
Ω)
G.定值电阻
(300Ω) H.定值电阻
(10Ω)
I.直流电源(E=3V,r=0.5Ω) J.电键S及导线若干.
【小题1】请选择合适的器材设计实验电路,并把电路图画在方框中(图中标明所选器材) 
【小题2】根据测量所得物理量,电流表
的内阻
= .
参考答案:
【小题1】如右图所示
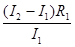
【小题2】
本题解析:【小题1】要想测得电阻,需要知道电压和电流,电流表自身可以显示通过的电流值,而题目中所给电压表量程偏大,所以只能用定值电阻与待测电流表替代,其两端电压为:
,则电路图如下
【小题2】电流表内阻为:
本题难度:一般
2、实验题 如图所示,将一光敏电阻接入多用电表两表笔上,将多用电表的选择开关至于欧姆档,用光照光敏电阻时,表针的偏角为θ1;用手掌挡住部分光线,表针的偏角为θ2,则可判断( )
A.θ1>θ2
B.θ1=θ2
C.θ1<θ2
D.不能确定
参考答案:A
本题解析:用手掌挡住部分光线电阻变大,电流减小,偏角减小,故A对。
考点:欧姆定律
本题难度:一般
3、选择题 某个磁场的磁感线如图所示,如果把一个小磁针放入磁场中,小磁针将
A.向右移动;
B.向左移动;
C.顺时针转动;
D.逆时针转动
参考答案:C
本题解析:试题分析:放入磁场中的小磁针N极所指的方向即为磁场的方向,所以小磁针将顺时针转动,C选项正确
故选C
考点:磁场的方向
点评:本题属于容易题,可以用这种方法判断磁场的方向
本题难度:一般
4、实验题 (10分)小明、小刚、小敏所在的学习兴趣小组在研究玩具电动机的工作状态时,想描绘出电动机工作时两端电压U和通过电动机线圈的电流I的U
参考答案:
本题解析:
本题难度:一般
5、选择题 如图所示电路中,电源内阻不计,三个小灯泡完全相同且外电路变化时每个灯泡两端的电压都不会超过其额定电压,开始时只有S1闭合,当S2也闭合后,下列说法正确的是( )
A.灯泡L1变亮
B.灯泡L2变亮
C.电容器C的带电荷量将增加
D.闭合S2的瞬间流过电流表的电流方向自右向左
参考答案:AD
本题解析:试题分析:A、
也闭合后,电路总电阻的变小,通过
灯的电流变大,
灯变亮;正确
B、通过
灯的电流变大,
灯两端电压增大,由
可知,
灯两端电压减小,
灯变暗;错误
C、
也闭合后,电容器两端电压减小,电容器C的带电荷量将减小;错误
D、闭合
的瞬间,电容器C的带电荷量将减小,即电容器放电,则电流表的电流方向自右向左;正确
故选AD
考点:闭合电路的动态分析
点评:注意只有
闭合时
相当于导线,电容器两端电压等于电源电动势,闭合
的瞬间,电容器两端电压减小。
本题难度:一般