时间:2019-05-21 04:52:01
1、选择题 甲沿着半径为R的圆周跑道匀速跑步,乙沿着半径为2R的圆周跑道匀速跑步。在相同的时间内,甲、乙各自跑了一圈,他们的角速度和线速度分别为ω1、ω2和v1、v2,则
[? ]
参考答案:C
本题解析:
本题难度:一般
2、选择题 如图所示,正在匀速转动的水平转盘上固定有三个可视为质点的小物块A、B、C,它们的质量关系为mA=2mB=2mC,到轴O的距离rC=2rA=2rB,下列说法正确的是( )
A.B的角速度比C小
B.A的线速度比C小
C.B的向心力比C小
D.A的向心加速度比B大
参考答案:A、共轴转动,角速度相等.故A错误.
? B、根据 v=rω,角速度相同,半径越大,线速度越大,所以C的线速度最大.故B正确.
? C、根据F=mrω2,因为mB=mC,角速度相同,C的半径大,所以B受到的向心力比C小.故C正确.
? D、根据a=rω2,A的半径等于B的半径,所以A、B的向心加速度相等.故D错误.
故选BC.
本题解析:
本题难度:简单
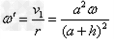
3、计算题 如图所示,轻线一端系一质量为m的小球,另一端套在图钉A上,此时小球在光滑的水平平台上做半径为a、角速度为ω的匀速圆周运动.现拔掉图钉A之后又被A正上方距A高为h的图钉B套住,达稳定后,小球又在平台上做匀速圆周运动.求:
(1)从拔掉图钉A到被图钉B套住共用的时间.
(2)最后做圆周运动的角速度. 
参考答案:解:(1)图钉A拔掉时,小球的线速度为v=ωa.小球沿切线方向飞出(如图),直到线环被图钉B套住,匀速运动的位移
则时间

(2)v可分解为切向速度v1和法向速度v2(如图),绳被拉紧后v2=0,小球以速度v1做匀速圆周运动,半径r=a+h
由
,得
本题解析:
本题难度:一般
4、选择题 质量为m的小球,用长为l的细线悬挂在O点,在O点的正下方
| l 2 |

参考答案:小球通过最低点时,线速度不变,根据ω=vr知,半径增大,则角速度减小.根据a=v2r知,半径增大,向心加速度减小.根据牛顿第二定律知,F-mg=mv2r,得F=mg+mv2r知拉力减小.故B正确,A、C、D错误.
故选B.
本题解析:
本题难度:简单
5、选择题 如图所示,球体绕中心线OO’转动,则下列说法中正确的是
[? ]
A.A、B两点的角速度相等
B.A、B两点的线速度相等
C.A、B两点的转动半径相等
D.A、B两点的转动周期相等
参考答案:AD
本题解析:
本题难度:简单