时间:2019-03-16 02:09:07
1、选择题 不定项选择
如图所示,电阻R1=3Ω,R2=6Ω,线圈的直流电阻不计,电源电动势E=5V,内阻r=1Ω。开始时,电键S闭合,则( ? )

参考答案:AC
本题解析:
本题难度:一般
2、选择题 不定项选择
关于红外线的作用与来源,下列说法正确的是( ? )
A.一切物体都在不停地辐射红外线
B.红外线具有很强的热作用和荧光作用
C.红外线的显著作用是化学作用
D.红外线容易穿透云雾
参考答案:AD
本题解析:
本题难度:简单
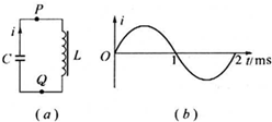
3、选择题 在如图所示的LC振荡电路中,通过P点的电流随时间变化的图线如图(b)所示,若把通过P点向右的电流规定为i轴的正方向,则
A.0至0.5ms内,电容器C正在充电
B.0.5ms至1ms内,电容器上极板带正电荷
C.1ms至1.5ms内,Q点比P点电势高
D.1.5ms至2ms内磁场能在减少,磁感应强度增大
参考答案:C
本题解析:由图(b)可知,在0至0.5ms内,电路电流在增大,电容器C正在放电,故A错误;由图(b)可知,在0.5ms至1ms内,电流是正的,即经过P点的电流向右,由于电路中做定向移动的带电粒子是带负电的电子,因此在该时间段内,电子经过P点向左移动,因此电容器上极板带负电,故B错误;由图(b)可知,在1ms至1.5ms内,通过电感线圈的电流向上,且增大,电感线圈产生自感电动势,由楞次定律可知,Q电感线圈下端电势高,上端电势低,即Q点比P点电势高,故C正确;由图(b)可知,在1.5ms至2ms内,电路电流减小,磁场减弱,磁感应强度变小,电路处于充电过程,磁场能转化为电场能,磁场能减小,故D错误;
故选C.
点评:本题有一定难度,应熟练掌握电磁振荡过程、分析清楚图象是正确解题的关键.
本题难度:简单
4、选择题 LC回路电容器两端的电μ随时t变化的关系如图所示,则( ? )
A.在时t1,电路中的电流最大
B.在时t2,电路中的磁场能最大
C.从时t2至t3,电路的电场能不断增大
D.从时t3至t4,电容器带的电荷量不断增大
参考答案:BC
本题解析:
本题难度:一般
5、选择题 信号传送过程中,与无线电广播最相似的是( )
A.电视
B.雷达
C.移动电话
D.互联网
参考答案:A、电视系统将视频和音频信号是叠加在一起的.通过调频调制,然后通过发射天线辐射出去.在接收端,视频和音频也是一起接收的,然后通过6.5M陷波器滤出音频信号后,分别作视频和音频的放大去驱动视频扫描电路和音频功率电路放出图象和声音来.所以与无线电广播相似,故A正确;
B、利用电磁波探测目标的电子设备.发射电磁波对目标进行照射并接收其回波,由此获得目标至电磁波发射点的距离、距离变化率(径向速度)、方位、高度等信息.故B错误;
C、移动电话也叫手机,它也属于接收信号的.故C错误;
D、互联网,即广域网、单机按照一定的通讯协议组成的国际计算机网络.互联网是指将两台计算机或者是两台以上的计算机终端、客户端、服务端通过计算机信息技术的手段互相联系起来的结果,人们可以与远在千里之外的朋友相互发送邮件、共同完成一项工作、共同娱乐.故D错误;
故选:A
本题解析:
本题难度:简单