时间:2019-03-16 02:07:45
1、选择题 质量相等的两个小球A、B,在光滑水平面上沿同一直线向同一方向运动.A球初动量为7 kg·m/s,B球的初动量为5 kg·m/s.当A追上B球发生碰撞后,A、B两球动量的可能值为(?)
A.pA="6" kg·m/s? pB="6" kg·m/s?B.pA="3" kg·m/s? pB="9" kg·m/s
C.pA="-2" kg·m/s? pB="14" kg·m/s?D.pA="-4" kg·m/s? pB="10" kg·m/s
参考答案:A
本题解析:该类题中发生的物理过程,应同时满足:碰撞前后系统动量守恒,即Δp=0,碰撞前后系统的动能不能增加,即ΔEk≤0.分析A、B、C、D四个选项,可知D不满足动量守恒,故D不正确.A、B、C三个选项均满足动量守恒,但B、C选项中,碰撞后系统的动能均大于碰撞前的系统动能,故B、C不正确,只有A正确.
本题难度:简单
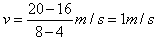
2、计算题 如图,倾角为θ的斜面固定。有n个质量都为m的相同的小木块(可视为质点)放置在斜面上。相邻两小木块间距离都为l,最下端的木块距底端也是l,小木块与斜面间的动摩擦因数都为μ。在开始时刻,第一个小木块从斜面顶端以初速度v0沿斜面下滑,其余所有木块都静止,由于第一个木块的下滑将依次引起一系列的碰撞。设每次碰撞的时间极短,在每次碰撞后,发生碰撞的木块都粘在一起运动,直到最后第n个木块到达底端时,速度刚好为零。己知重力加速度为g。求:
(1)第一次碰撞后小木块l的速度大小v;
(2)从第一个小木块开始运动到第一次碰撞后系统损失的机械能△E;
(3)发生一系列碰撞后,直到最后第n个木块到达底端,在整个过程中,由于碰撞所损失的总机械能△E总。
参考答案:解:(1)设小木块1碰前的速度为v1,从开始运动到碰前,根据动能定理 
对小木块1和2,由动量守恒
求出
(2)碰撞前损失的机械能为
因碰撞损失的机械能为
求出
(3)对n个木块碰撞的全过程
重力做的总功WG=
克服摩擦做的总功
根据功与能的关 系
由以上各式求出
本题解析:
本题难度:困难
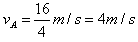
3、计算题 如果两球在碰撞前的速度在两球的中心连线上,那么这种碰撞称为对心碰撞(或称正碰),设两球碰撞前的速度分别为V10和V20,碰撞后的速度分别为V1和V2,并假定碰撞前后各个速度都沿同一方向,某探究学习小组从实验结果总结出一个碰撞定律:碰撞后两球的分离速度(V2-V1),与碰撞前两球的接近速度(V10-
V20)成正比,比值由两球的材料性质决定,即通常把e叫做恢复系数。某同学利用如图所示装置进行实验,绳上挂有A、B两个小球,并已测出两球碰撞时的恢复系数e=0.5,已知A球质量为2m、摆长为2L,B球质量为m、摆长为L,某次实验中球A由静止状态释放,运动到最低点与静止的球B发生正碰,碰后刚好使球B到达使绳成水平的位置。求球A释放前θ角的大小。
参考答案:解:设球A到达最底点的速度为V,根据机械能守恒有
①
所以
设碰撞后A、B两球的速率分别为VA、VB,由题意得:
即
②
A、B两球碰撞时水平方向动量守恒:
③
由②③得
④
碰撞后B球机械能守恒,故有:
⑤
将①④式代入⑤得
所以A球释放前θ=60°
本题解析:
本题难度:困难
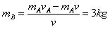
4、计算题 如图,半径为R的光滑圆形轨道固定在竖直面内。小球A、B质量分别为m、βm(β为待定系数)。A球从左边与圆心等高处由静止开始沿轨道下滑,与静止于轨道最低点的B球相撞,碰撞后A、B球能达到的最大高度均为,碰撞中无机械能损失。重力加速度为g。试求:
(1)待定系数β;
(2)第一次碰撞刚结束时小球A、B各自的速度和B球对轨道的压力;
(3)小球A、B在轨道最低处第二次碰撞刚结束时各自的速度,并讨论小球A、B在轨道最低处第n次碰撞刚结束时各自的速度。

参考答案:解:(1)由
,得
(2)设A、B碰撞后的速度分别为v1、v2,则 
设向右为正、向左为负,解得
,方向向左
,方向向右
设轨道对B球的支持力为N,B球对轨道的压力为N′,方向竖直向上为正、向下为负
则
N′=-N=-4.5mg,方向竖直向下
(3)设A、B球第二次碰撞刚结束时的速度分别为V1、V2,则 
解得
(另一组解V1=-v1,V2=-v2不合题意,舍去)
由此可得:当n为奇数时,小球A、B在第n次碰撞刚结束时的速度分别与其第一次碰撞刚结束时相同;
当n为偶数时,小球A、B在第n次碰撞刚结束时的速度分别与其第二次碰撞刚结束时相同
本题解析:
本题难度:困难
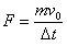
5、计算题 如图所示,半径R=0.8m的四分之一光滑圆弧轨道位于竖直平面内,与长CD=2.0m的绝缘水平面平滑连接。水平面右侧空间存在互相垂直的匀强电场和匀强磁场,电场强度E=40N/C,方向竖直向上,磁场的磁感应强度B=1.0T,方向垂直纸面向外。两个质量均为m=2.0×10-6 kg的小球a和b,a球不带电,b球带q=1.0×10-6 C的正电,并静止于水平面右边缘处。将a球从圆弧轨道顶端由静止释放,运动到D点与b球发生正碰,碰撞时间极短,碰后两球粘合在一起飞入复合场中,最后落在地面上的P点。已知小球a在水平面上运动时所受的摩擦阻力f=0.1mg,PN=
,取g=10m/s2。a、b均可作为质点。(结果保留三位有效数字)求:
(1)小球a与b相碰后瞬间速度的大小v;
(2)水平面离地面的高度h;
(3)从小球a开始释放到落地前瞬间的整个运过程中ab系统损失的机械能ΔE。 
参考答案:解:(1)设a球到D点时的速度为vD,从释放至D点,根据动能定理:
对a、b球,根据动量守恒定律mvD=2mv
解得:v=1.73m/s
(2)两球进入复合场后,由计算可知Eq=2mg,两球在洛仑兹力作用下做匀速圆周运动轨迹示意图如图所示
?
洛仑兹力提供向心力
由图可知:r=2h
解得:h=2
=3.46m
(3)ab系统损失的机械能
或
解得
=1.49×10-4 J
本题解析:
本题难度:困难