时间:2019-03-15 17:49:48
1、实验题 一位同学做“用单摆测定重力加速度”的实验。
(1)在实验中,①测量摆长时,他正确地测出悬线长l和摆球直径d,则摆长L=___________;②测量周期时,在摆球某次向右通过最低点时,该同学按下秒表开始计时,并将此次计为第1次,直到摆球第30次向右通过最低点时,该同学按下秒表停止计时,读出秒表显示的时间t,则该单摆的周期T=__________。
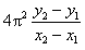
(2)该同学采用图象法处理实验数据,实验中测出不同摆长L以及对应的周期T,作出L-T2图线如图所示,利用图线上任两点A、B的坐标(xl,y1)、(x2,y2)可得出重力加速度的表达式为g=____________。

参考答案:(1)l+d/2;t/29
(2)
本题解析:
本题难度:一般
2、选择题 如图所示,质量为m的小车在水平恒力F推动下,从山坡(粗糙)底部A处由静止起运动至高为h的坡顶B,获得速度为v,AB之间的水平距离为s,重力加速度为g.下列说法正确的是( )
A.小车克服重力所做的功是mgh
B.合外力对小车做的功是
| 1 2 |
| 1 2 |
| 1 2 |

参考答案:A.WG=mg△h=mg(hA-hB)=-mgh,故小车克服重力所做的功是mgh,故A正确
B、对小车从A运动到B的过程中运用动能定理得,W=12mv2,故B正确
C、由动能定理得:W推-mgh-Wf=12mv2,故C错误
D、由于推力为恒力,故W推=Fs,结合C分析可得,D正确
故选ABD
本题解析:
本题难度:一般
3、选择题 关于物体重心,下列说法中正确的是( ? )
A.物体的重心一定在物体上
B.一个物体,只有重心处才受重力作用
C.物体的重心与其形状和质量分布有关
D.形状规则的物体的重心一定在几何中心
参考答案:C
本题解析:
本题难度:一般
4、选择题 下列关于重力、弹力和摩擦力的说法,正确的是( )
A.形状规则的物体的重心一定在物体的几何中心上
B.任何物体形变以后都会产生弹力
C.摩擦力的大小总是与物体之间的压力成正比
D.静摩擦力的大小只能在零和最大静摩擦力之间发生变化
参考答案:A.重心不一定在物体的几何中心上,只有质量分布均匀,形状规则的物体,重心才在其几何重心,故A错误;
B.能发生弹性形变的物体形变以后要恢复原状对与它接触的物体才有弹力,故B错误;
C.静摩擦力的大小与物体之间的压力无关,故C错误;
D.静摩擦力的大小是在零和最大静摩擦力之间发生变化的,当超过最大静摩擦力之后就开始相对运动了,此后就是滑动摩擦力了,故D正确.
故选D.
本题解析:
本题难度:简单
5、选择题 如图所示的ABC是木匠用的曲尺,它是用粗细不同、质量分布均匀、两段质量相等的木料做成的,D是AC边线的中点,F是AB段的中点,G是BC段的中点,E是FG连线的中点,则曲尺的重心在( )
A.B点
B.D点
C.E点
D.G点
参考答案:C
本题解析:当物体的形状规则,质量分布均匀时,重心在物体的几何中心,由题干可知两根木料质量分布均匀,所以AB段的重心在其几何中心F点,BC段的重心在G点,整体的重心在FG的中点E点,C对;
本题难度:一般