时间:2018-10-13 00:35:21
1、选择题 如图A、B两物体叠放在一起,用手托住,让它们静靠在平整的竖直墙边,然后释放,它们同时沿墙面向下滑,已知mA>mB,则物体B 受力个数是
A.1 B.2 C.3 D.4
参考答案:A
本题解析:由于两个物体对墙壁没有压力,根据
,不受墙壁的摩擦力作用,而两个物体一起下落,加速度是重力加速度g,再单独对B进行受力分析可知,A、B之间也没压力,因此B物体只受重力作用,A正确,BCD错误。
考点:物体受力分析
本题难度:一般
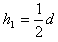
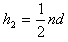
2、计算题 如图所示,n块厚度均为d质量为m的相同砖块,靠在一起平放在地面上,今将它们一块一块向上叠起来,全部叠完这堆砖,砖的重心升高了多少? 
参考答案:解:砖块靠在一起平放在地面上时的重心高度为:
全部叠完后砖的重心高度为:
所以重心的高度差为:
本题解析:
本题难度:一般
3、选择题 静止在水平桌面上的物体,对水平桌面的压力
A.就是物体的重力?
B.大小等于物体的重力?
C.这压力是由于物体的形变而产生的
D.这压力是由于地球的吸引而产生的
参考答案:BC
本题解析:物体对水平桌面的压力是一种弹力,与重力本质不同,不能说压力就是重力.故A错误.静止在水平桌面上的物体,对水平桌面的压力大小等于物体的重力.故B正确.重力是由于的吸引而产生的,压力是由于物体发生形变,要恢复原状对桌面而产生的.故D错误,C正确.
点评:压力与重力是两个不同性质的力,即使大小相等,但施力物体和受力物体不同,产生的原因不同,也不能说压力就是重力.
本题难度:简单
4、选择题 2010年11月23日,第16届亚运会跳水展开女子双人10米跳台的争夺,如图所示,中国队陈若琳和汪皓夺取金牌.在亚运会高台跳水比赛中,质量为m的跳水运动员进入水中后受到水的阻力(包含浮力)而竖直向下做减速运动,设水对她的阻力大小恒为F,则在她减速下降深度为h的过程中,下列说法正确的是( )(g为当地的重力加速度)
A.她的动能减少了Fh
B.她的重力势能减少了mgh
C.她的机械能减少了(F-mg)h
D.她的机械能减少了mgh
参考答案:A、运动员下降的过程中,受到重力和阻力作用,根据动能定理,动能增加量等于(mg-F)h,故A错误;
B、重力做功为mgh,重力做功等于重力势能的减小量,故重力势能减小mgh,故B正确;
C、D、除重力外的各个力做的总功等于机械能的增加量,除重力外,运动员克服阻力做功为Fh,故机械能减小Fh,故C错误,D也错误;
故选B.
本题解析:
本题难度:一般
5、选择题 一个质量为m的带电小球,在匀强电场中,以水平速度抛出,小球加速度方向竖直向下,大小为
| g 3 |
| mgh 3 |
| 2mgh 3 |
| mgh 3 |
参考答案:A、根据动能定理:小球动能的变化量等于合力做功,△Ek=F合?h=mah=mg3h=13mgh>0,即动能增大13mgh.故A错误.
? B、小球的重力做正功mgh,重力势能减小mgh,根据能量守恒定律得:小球电势能增加mgh-13mgh=23mgh.故B正确
? C、由上可知:重力势能减小mgh,动能增加13mgh,则机械能减小23mgh.故C错误.
? D、小球高度下降,重力做正功,重力势能减小.故D错误.
故选B
本题解析:
本题难度:一般