时间:2018-10-01 02:19:10
1、选择题  如图所示为一列沿着x轴正方向传播的横波在t=0时刻的波形图.已知这列波的周期T=2.0s.则(  )
A.这列波的波速v=2.0m/s
B.在t=0时,x=0.5m处的质点速度为零
C.经过2.0s,这列波沿x轴正方向传播0.8m
D.在t=0.4s时,x=0.5m处的质点的运动方向为y轴正方向
参考答案:A、由图知:波长λ=1m,则波速v=λT=12m/s=0.5m/s.故A错误.
B、在t=0时,x=0.5m处的质点位于平衡位置,速度不是零而是最大.故B错误.
C、过2.0s,这列波沿x轴正方向传播距离为x=vt=0.5×2m=1m.故C错误.
D、t=0.4s=15T,图示时刻x=0.5m处的质点正向上运动,故t=0.4s时,x=0.5m处的质点的运动方向为y轴正方向.故D正确.
故选D
本题解析:
本题难度:简单
2、填空题  如图是一列简谐横波的图象,由图可知,其振幅为______,波长为______.
参考答案:根据振幅的定义:振幅A是振动物体离开平衡位置的最大距离,由y的最大值读出A=5cm.根据波长等于相邻两波峰或波谷间的距离,读出波长λ=24m.
故答案为:5cm;24m
本题解析:
本题难度:简单
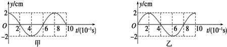
3、简答题  一列简谐横波沿一直线传播,直线上有P、Q两点相距3m.甲、乙分别为P、Q两质点的振动图象,如图.
(1)如果波是由Q传向P且波长λ>1.5m,求该波的可能波速.
(2)如果波是由P传向Q且波长λ<1.5m,求该波的可能波速.
参考答案:(1)、由图知,周期T=0.8s,
如果波是由Q传向P,则有:3m=nλ+34λ,
解得:λ=3n+34=124n+3(n=0,1,2…)
因为波长λ>1.5m,所以n=0或1
则v=λT=154n+3
所以当n=0时,v1=5m/s,当n=1时,
v2=157m/s
(2)如果波是由P传向Q,则有:3m=nλ+14λ,
解得:λ=3n+14=124n+1(n=0,1,2…)
因为波长λ<1.5m,所以n=2,3,4…
则v=λT=154n+1m/s(n=2,3,4…)
答:(1)如果波是由Q传向P且波长λ>1.5m,该波的可能波速为5m/s或157m/s.
(2)如果波是由P传向Q且波长λ<1.5m,该波的可能波速为154n+1m/s(n=2,3,4…)
本题解析:
本题难度:一般
4、选择题  简谐横波某时刻波形图如图所示,a为介质中的一个质点,由图象可知 
[? ]
A.质点a加速度方向一定沿y轴负方向 
B.质点a的速度方向一定沿y轴负方向 
C.经过半个周期,质点a的位移一定为负值 
D.经过半个周期,质点a通过的路程一定为2A 
参考答案:ACD
本题解析:
本题难度:一般
5、选择题  一列简谐横波沿x轴正方向传播,波速v=4m/s,已知坐标原点(x=0)处质点的振动图象如图所示,在下列4幅图中能够正确表示t=0.25s时波形的图是(  )
A.
B.
C.
D.

参考答案:根据坐标原点处的质点振动图象可知:t=0.25s时该点在Y轴负方向上且向下振动.
A、质点处在Y轴正方向上且向上振动,故A错误;
B、质点处在Y轴正方向上,向下振动,故B错误;
C、质点处在Y轴负方向,向下振动,故C正确;
D、质点处在Y轴负方向,向上振动,故D错误.
故选C.
本题解析:
本题难度:简单