时间:2017-11-05 17:15:14
1、计算题 静电喷漆技术具有效率高,浪费少,质量好,有利于工人健康等优点,其装置示意图如图所示。A、B为两块平行金属板,间距d=0.30m,两板间有方向由B指向A、电场强度E=1.0×103N/C的匀强电场。在A板的中央放置一个安全接地的静电油漆喷枪P,油漆喷枪的半圆形喷嘴可向各个方向均匀地喷出带电油漆微粒,油漆微粒的质量m=2.0×10-15 kg、电荷量为q=-2.0×10-16 C,喷出的初速度v0=2.0 m/s。油漆微粒最后都落在金属板B上。微粒的重力和所受空气阻力以及带电微粒之间的相互作用力均可忽略。试求:
(1)微粒落在B板上的动能;
(2)微粒从离开喷枪后到达B板所需的最短时间;
(3)微粒最后落在B板上所形成的图形及面积的大小。 
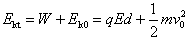
参考答案:解:(1)据动能定理,电场力对每个微粒做功
微粒打在B板上时的动能
代入数据解得:
J
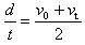
(2)微粒初速度方向垂直于极板时,到达B板时间最短,到达B板时速度为vt,有
,可得vt=8.0m/s
由于微粒在两极板间做匀变速运动,即
可解得t=0.06s
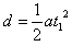
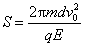
(3)由于喷枪喷出的油漆微粒是向各个方向,因此微粒落在B板上所形成的图形是圆形。对于喷枪沿垂直电场方向喷出的油漆微粒,在电场中做抛物线运动,根据牛顿第二定律,油漆颗粒沿电场方向运动的加速度
运动的位移
油漆颗粒沿垂直于电场方向做匀速运动,运动的位移即为落在B板上圆周的半径
微粒最后落在B板上所形成的圆面积S=πR2
联立以上各式,得
代入数据解得S=7.5×10-2 m2
本题解析:
本题难度:困难
2、计算题 (18分)如图所示,P1P2为一水平面,其上方紧贴放置一对竖直正对的带电金属板M、N,其下方紧贴放置一内壁光滑的半圆形绝缘轨道ADC,绝缘轨道ADC位于竖直平面内,右端A恰在两板的正中央处,N板上开有小孔B,孔B到水平面P1P2的距离为绝缘轨道直径的2/3倍。设仅在M、N两板之间存在匀强电场。现在左端C的正上方某一位置,将一质量为m、电荷量为q的小球由静止释放,经过绝缘轨道CDA后从A端竖直向上射入两板间,小球能从B孔水平射出,并恰好落到C端。整个过程中,小球的电荷量不变,孔B的大小及小球直径均可忽略,重力加速度为g。求:
(1)板间电场强度E;
(2)小球运动到绝缘轨道的最低点D时对轨道的压力大小。
参考答案:(1)
(2)
本题解析:(1)如图,设绝缘轨道半径为R,A到板N的距离为d,AB的竖直距离为y,C到板N的距离为x;到达最低点D的速度为vD,到A点时的速度为vA,到达孔B时的速度为vB。
球在离开A经B到C的过程中,竖直方向只受重力作用,故从A到B和从B到C的时间相等,并设从A到B的时间为t。(2分)
则有:
?①…………(1分)
?②…(1分)
由①②得,
? -----------③…………(1分)
由题意,
? --------- ④………………(1分)
在水平方向上,有
?---------------⑤……(1分)
在竖直方向上,有
?------------⑥ ………(2分)
则③④⑤⑥四式,解得板间场强的大小
……(2分)
(2)从A到B的过程中,有
--------⑦…(2分)
由题意
------------------⑧
由④⑦⑧三式可解得
------------------⑨
从D到A,根据机械能守恒,有
?⑩…(2分)
在D点,有
? …?(2分)
由⑨⑩?三式可解得,轨道对小球的支持力
………………(2分)
由牛顿第三定律,得小球在最低点D对轨道的压力大小为
……(1分)
本题难度:一般
3、选择题 分别将带正电、负电和不带电的三个等质量小球,分别以相同的水平速度由P点射入水平放置的平行金属板间,已知上板带负电,下板接地.三小球分别落在图中A、B、C三点,则 [ ?]
A.A带正电、B不带电、C带负电
B.三小球在电场中加速度大小关系是:aA<aB<aC
C.三小球在电场中运动时间相等
D.三小球到达下板时的动能关系是EkC>EkB>EkA
参考答案:ABD
本题解析:上板带负电,下板接地可知场强方向向上,带正电小球受向上的电场力,则加速度最小,带负电小球受向下的电场力,则加速度最大,不带电小球只受重力作用,加速度居中。所以B不带电,A带正电,C带负电,AB对。三小球在电场中运动时间
,因为水平位移不同,故运动时间也不同,C错。重力对它们做功相同,电场力对A做负功故,对C做正功,对B不做功,所以三小球到达下板时的动能关系是EkC>EkB>EkA,D对
本题难度:一般
4、选择题 带电荷量为q的α粒子,以初动能Ek从两平行金属板的正中央沿垂直于电场线的方向进入在这两板间存在的匀强电场,恰从带负电金属板边缘飞出来,且飞出时动能变为2Ek。则金属板间的电压为
[? ]
A.Ek/q
B.2Ek/q
C.Ek/2q
D.4Ek/q
参考答案:B
本题解析:
本题难度:一般
5、计算题 (普通班做)如图所示,质量为m、电量为q的离子(重力不计)从静止状态开始,经过加速电场U1后,水平进入平行板电容器,进入位置为两板正中间。已知两板相距为d,板长为L,已知该离子恰能从两板间飞出。试求:
(1)该离子进入平行板之前的速度为多大?
(2)平行板间的电压U2的取值为多大。
参考答案:(1)
(2)
本题解析:
(1)由动能定理可得:
(2)粒子在偏转电场中水平方向匀速运动,竖直方向做匀加速运动,则
考点:带电粒子在匀强磁场中的运动.
本题难度:一般