时间:2017-09-26 10:32:06
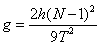
1、计算题 利用水滴下落可以粗略测出重力加速度g,调节水龙头,让水一滴一滴地流出,使得每隔相等时间间隔流出一滴水。在水龙头的正下方放一个盘子,调节盘子的高度,使一个水滴碰到盘子时恰好有一水滴从水龙头开始下落,而空中还有两个正在下落中的水滴,测出水龙头到盘子间距离为h(m),再用秒表测时间,以某一个水滴落在盘上开始计时,到第N个水滴落至盘中,共用时间为T(s),试推出测得重力加速度g的表达式。
参考答案:
本题解析:
本题难度:一般
2、选择题 一石块从楼房阳台边缘向下做自由落体运动到达地面,把它在空中运动的时间分为相等的三段,如果它在第一段时间内的位移是1.2 m,那么它在第三段时间内的位移是( )
A.1.2 m
B.3.6 m
C.6.0 m
D.10.8 m
参考答案:C
本题解析:做初速度为零的匀加速直线运动的物体,从静止开始在相等时间内位移之比为
由此可知
即
,所以
.
故选C
点评:解决本题要知道初速度为0的匀加速直线运动,从静止开始相等时间间隔内的位移之比为
本题难度:一般
3、选择题 为了测出楼房的高度,让一石块从楼顶自由落下(不计空气阻力),测出下列哪个物理量就可以算出楼房的高度( )
A.物体的质量
B.物体的密度
C.石块下落到地面的总时间
D.物体落地时的速度
参考答案:A、B、同一地点所有物体自由下落的加速度都相同,与物体的质量和密度无关,故A错误,B错误;
C、根据h=12at2可知,知道石块下落的时间就可以求出楼的高度,故C正确;
D、根据2ah=v2可知,知道石块落地的速度就可以求出楼的高度,故D正确;
故选CD.
本题解析:
本题难度:简单
4、简答题 从高5m处自由下落的物体,落到地面所用的时间是t=______s,落地时的速度v=______m/s,(g=10m/s2)
参考答案:物体自由下落,已知位移,根据位移时间关系公式,有h=12gt2;
解得t=
本题解析:
本题难度:一般
5、计算题 (12分)一个小球从某高处由静止开始下落,经过一个高2.05m的门口用了0.1s,忽略空气阻力,g=10m/s2,求小球的下落点离门口上缘的高度和小球经过门口过程的平均速度
参考答案:见试题分析
本题解析:设小球经过门口上下缘的速度分别为v1和v2 ,上缘离小球下落点的高度为H,则有:
?(2分)
v2 =v1 +gt?(2分)
?(2分)
V=h/t?(2分)
联合以上各式解得: H=20m?(2分)科.
V=20.5m/s?(2分)
本题难度:一般