高中物理知识点总结《通电导线在磁场中受到的力》高频考点强化练习(2017年最新版)(二)

时间:2017-08-25 12:52:14

微信搜索关注"91考试网"公众号,领30元,获取事业编教师公务员等考试资料40G

1、选择题  一带电质点在匀强磁场中作圆周运动,现给定了磁场的磁感应强度,带电质点的质量和电量.若用v表示带电质点运动的速率,R表示其轨道半径,则带电质点运动的周期
A.与R有关
B.与R无关
C.与v有关
D.与v无关


参考答案:C 


本题解析:根据洛伦兹力提供向心力:,以及圆周运动的规律知道周期,立可得,所以可知带电质点运动的周期与v无关,与R无关
考点:考查带电粒子在匀强磁场中的运动
点评:难度较小,根据洛仑兹力提供向心力,推导周期公式可判断


本题难度:一般



2、选择题  如图所示,左侧的水平台面上固定着条形磁铁,右侧固定着一螺线管。下列判断正确的是(? )

A.螺线管内的磁场方向向左,磁铁受到的斥力向左
B.螺线管内的磁场方向向左,磁铁受到的斥力向右
C.螺线管内的磁场方向向右,磁铁受到的斥力向左
D.螺线管内的磁场方向向右,磁铁受到的斥力向右


参考答案:A


本题解析:由图可知,电流由左侧流入,则由右手螺旋定则可得,内部磁感线向左,螺线管左侧为N极;因两磁铁为同名磁极相对,故磁铁受斥力方向向左;故选A.
点评:本题属于基础性的题目,很简单


本题难度:简单



3、选择题  下列说法正确的是
[? ]
A.电流在磁场中所受安培力方向既与磁场方向垂直又与电流方向垂直
B.做匀速运动的物体机械能一定不变
C.做曲线运动的物体速度一定变化,加速度可能不变,合外力一定不为零
D.由可知,电场中某点场强E与试探电荷的电量q成反比,与电荷在该点所受电场力F成正比


参考答案:AC


本题解析:


本题难度:简单



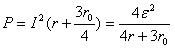
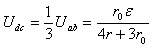
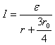
4、计算题  导电的正方形线框abcd边长为l,每边的电阻均为r0,线框置于光滑水平导轨oo"与nn"上,导轨间距也为l,电阻不计,on端所接电池的电动势为ε,内阻为r,整个装置处在磁感强度大小为B方向向下的匀强磁场中。现将电键s闭合,求s闭合瞬间:
(1)线框所受安培力的方向(在图中标示出来);
(2)线框所受安培力的大小;
(3)电路的发热功率。


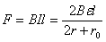
参考答案:解:(1)根据左手定则,ab边与dc边所受的安培力方向均沿导轨o"n"方向
(2)因为导轨电阻不计,所以ad边与cb边均构成短路
总电流为
由整体法可求得线框所受安培力的合力为
说明:如未考虑到ad边与cb边构成短路,按以下求法且算出结果的也正确。
总电流


根据F=BIl,线框所受安培力的合力为F=Fab+Fdc=
(3)电路的发热功率为
说明:如未考虑到ad边与cb边构成短路,按以下求法且算出结果也正确。


本题解析:


本题难度:困难



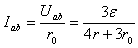
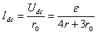
5、其他  如图所示,两根平行光滑金属导轨ab和cd置于同一水平面上,相互间隔为L="0.1" m,质量m="3" g的金属棒置于轨道右端,跨在两根导轨上,导轨左端通过开关S与电池连接,匀强磁场方向垂直轨道所在平面向上,磁感应强度


参考答案:


本题解析:


本题难度:一般




首页 上页 1 2 3 下页 尾页 2/10/10
微信搜索关注"91考试网"公众号,领30元,获取公务员事业编教师考试资料40G
【省市县地区导航】【考试题库导航】
 ★ 高考省级导航 ★ 
全国 A安徽 B北京 C重庆 F福建 G广东 广西 甘肃 贵州 H河南 河北 湖南 湖北 黑龙江 海南 J江苏 江西 吉林 L辽宁 N内蒙古 宁夏 Q青海 S山东 山西 陕西 四川 上海 T天津 X新疆 西藏 Y云南 Z浙江
 ★ 高考信息汇总 ★ 
 ★ 高考历年真题 ★ 
 ★ 高考历年真题 ★ 
 ★ 高考题库 ★ 
 ★ 高考题库 ★ 

电脑版  |  手机版  |  返回顶部