手机用户可
保存上方二维码到手机中,在
微信扫一扫中右上角选择“从
相册选取二维码”即可。
1、问答题 绘图题:画出两台发电机—变压器组四条线路,单母线一次主接线图。
点击查看答案
本题答案:微信扫下方二维码即可打包下载完整带答案解析版《★电气值班员考试》或《电气值班员考试:电气值班员高级技师考试》题库
2、判断题 在中性点直接接地的电网中,当过流保护采用三相星形接线方式时,也能保护接地短路。
点击查看答案
本题答案:微信扫下方二维码即可打包下载完整带答案解析版《★电气值班员考试》或《电气值班员考试:电气值班员高级技师考试》题库
3、单项选择题 如果发电机在运行中定子电压过低,会使定子铁芯处在不饱和状态,此时将引起()。
A.电压继续降低;
B.电压不稳定;
C.电压波形畸变;
D.不变。
点击查看答案
本题答案:微信扫下方二维码即可打包下载完整带答案解析版《★电气值班员考试》或《电气值班员考试:电气值班员高级技师考试》题库
4、判断题 水轮发电机转子回路发生一点接地时,允许继续运行2h。
点击查看答案
本题答案:微信扫下方二维码即可打包下载完整带答案解析版《★电气值班员考试》或《电气值班员考试:电气值班员高级技师考试》题库
5、判断题 载流导线在电场中,要受到力的作用,作用力的方向用左手定则判定。
点击查看答案
本题答案:微信扫下方二维码即可打包下载完整带答案解析版《★电气值班员考试》或《电气值班员考试:电气值班员高级技师考试》题库
6、判断题 同步发电机发生振荡时,应设法增加发电机励磁电流。
点击查看答案
本题答案:微信扫下方二维码即可打包下载完整带答案解析版《★电气值班员考试》或《电气值班员考试:电气值班员高级技师考试》题库
7、单项选择题 电网发生短路时()。
A.网络阻抗增大;
B.网络阻抗减小
C.网络阻抗既可增大也可减小;
D.网络阻抗不变。
点击查看答案
本题答案:微信扫下方二维码即可打包下载完整带答案解析版《★电气值班员考试》或《电气值班员考试:电气值班员高级技师考试》题库
8、问答题 为什么要从变压器的高压侧引出分接头?
点击查看答案
本题答案:微信扫下方二维码即可打包下载完整带答案解析版《★电气值班员考试》或《电气值班员考试:电气值班员高级技师考试》题库
9、判断题 在几个电阻串联的电路中,电流分配与各电阻大小无关。
点击查看答案
本题答案:微信扫下方二维码即可打包下载完整带答案解析版《★电气值班员考试》或《电气值班员考试:电气值班员高级技师考试》题库
10、单项选择题 相差高频保护应接于综合重合闸装置的()端子。
A.N;
B.M;
C.P;
D.Q。
点击查看答案
本题答案:微信扫下方二维码即可打包下载完整带答案解析版《★电气值班员考试》或《电气值班员考试:电气值班员高级技师考试》题库
11、判断题 电力网是由输、配电线路和变、配电装置组成的。
点击查看答案
本题答案:微信扫下方二维码即可打包下载完整带答案解析版《★电气值班员考试》或《电气值班员考试:电气值班员高级技师考试》题库
12、判断题 变压器油枕油位计的+40℃油位线是表示环境温度在+40℃时的油标准位置线。
点击查看答案
本题答案:微信扫下方二维码即可打包下载完整带答案解析版《★电气值班员考试》或《电气值班员考试:电气值班员高级技师考试》题库
13、问答题 试求型号为NKL-10-400-6的电抗器的感抗XL。
点击查看答案
本题答案:微信扫下方二维码即可打包下载完整带答案解析版《★电气值班员考试》或《电气值班员考试:电气值班员高级技师考试》题库
14、问答题 简述断路器失灵保护装设的连接片及作用。
点击查看答案
本题答案:微信扫下方二维码即可打包下载完整带答案解析版《★电气值班员考试》或《电气值班员考试:电气值班员高级技师考试》题库
15、单项选择题 对隐极式汽轮发电机承受不平衡负荷的限制,主要是由转子()决定的。
A.发热条件;
B.振动条件;
C.磁场均匀性;
D.电流性。
点击查看答案
本题答案:微信扫下方二维码即可打包下载完整带答案解析版《★电气值班员考试》或《电气值班员考试:电气值班员高级技师考试》题库
16、判断题 距离保护的测量阻抗值不随运行方式而变。
点击查看答案
本题答案:微信扫下方二维码即可打包下载完整带答案解析版《★电气值班员考试》或《电气值班员考试:电气值班员高级技师考试》题库
17、问答题 绘图题:画出三相短路示意图及代表符号。
点击查看答案
本题答案:微信扫下方二维码即可打包下载完整带答案解析版《★电气值班员考试》或《电气值班员考试:电气值班员高级技师考试》题库
18、问答题 为什么要规定变压器的允许温升?
点击查看答案
本题答案:微信扫下方二维码即可打包下载完整带答案解析版《★电气值班员考试》或《电气值班员考试:电气值班员高级技师考试》题库
19、判断题 电路中由于电压、电流突变引起铁磁谐振时,电压互感器的高压侧熔断器不应熔断。
点击查看答案
本题答案:微信扫下方二维码即可打包下载完整带答案解析版《★电气值班员考试》或《电气值班员考试:电气值班员高级技师考试》题库
20、单项选择题 距离保护装置一般由()组成。
A.测量部分、启动部分;
B.测量部分、启动部分、振荡闭锁部分;
C.测量部分、启动部分、振荡闭锁部分、二次电压回路断线失压闭锁部分;
D.测量部分、启动部分、振荡闭锁部分、二次电压回路断线失压闭锁部分、逻辑部分。
点击查看答案
本题答案:微信扫下方二维码即可打包下载完整带答案解析版《★电气值班员考试》或《电气值班员考试:电气值班员高级技师考试》题库
21、问答题 某负载电阻的变化范围是RL=1~2.5kΩ,当RL为2.5kΩ时(设其电流为I1),要求电压为10V,当RL为1kΩ时(设其电流为I2),要求电压不低于8V,求满足上述要求的电源内阻等于多少?
点击查看答案
本题答案:微信扫下方二维码即可打包下载完整带答案解析版《★电气值班员考试》或《电气值班员考试:电气值班员高级技师考试》题库
22、判断题 当一个导线(线圈)与磁场发生相对运动时,导线(线圈)中产生感应电动势。
点击查看答案
本题答案:微信扫下方二维码即可打包下载完整带答案解析版《★电气值班员考试》或《电气值班员考试:电气值班员高级技师考试》题库
23、判断题 继电保护和自动装置屏的前后,必须有明显的同一名称标志及标称符号,目的是防止工作时走错间隔或误拆、动设备,造成保护在运行中误动作。
点击查看答案
本题答案:微信扫下方二维码即可打包下载完整带答案解析版《★电气值班员考试》或《电气值班员考试:电气值班员高级技师考试》题库
24、问答题 绘图题:画出直流电机复激方式接线图。
点击查看答案
本题答案:微信扫下方二维码即可打包下载完整带答案解析版《★电气值班员考试》或《电气值班员考试:电气值班员高级技师考试》题库
25、单项选择题 若已知一个电阻两端加上400V的电压时,所消耗的功率为80W,那么当外加电压减少一半时,则消耗的功率为()W。
A.60;
B.40;
C.20;
D.10。
点击查看答案
本题答案:微信扫下方二维码即可打包下载完整带答案解析版《★电气值班员考试》或《电气值班员考试:电气值班员高级技师考试》题库
26、问答题 绘图题:画出Yd11连接组别变压器的电路图与相量图。
点击查看答案
本题答案:微信扫下方二维码即可打包下载完整带答案解析版《★电气值班员考试》或《电气值班员考试:电气值班员高级技师考试》题库
27、判断题 距离保护的时限特性与保护安装处至故障点的距离无关。
点击查看答案
本题答案:微信扫下方二维码即可打包下载完整带答案解析版《★电气值班员考试》或《电气值班员考试:电气值班员高级技师考试》题库
28、判断题 保护连接片投入前,应使用高内阻电压表测量连接片两端无电压后,方可投入。
点击查看答案
本题答案:微信扫下方二维码即可打包下载完整带答案解析版《★电气值班员考试》或《电气值班员考试:电气值班员高级技师考试》题库
29、问答题 AVC的功能是什么,运行中有哪些限制条件?
点击查看答案
本题答案:微信扫下方二维码即可打包下载完整带答案解析版《★电气值班员考试》或《电气值班员考试:电气值班员高级技师考试》题库
30、判断题 交流电气设备铭牌所标的电压和电流值,都是最大值。
点击查看答案
本题答案:微信扫下方二维码即可打包下载完整带答案解析版《★电气值班员考试》或《电气值班员考试:电气值班员高级技师考试》题库
31、问答题 绘图题:画出发电机定子冷却水系统简图
点击查看答案
本题答案:微信扫下方二维码即可打包下载完整带答案解析版《★电气值班员考试》或《电气值班员考试:电气值班员高级技师考试》题库
32、判断题 深槽式电动机是利用交变电流的集肤作用来增加转子绕组启动时的电阻,改善启动特性的。
点击查看答案
本题答案:微信扫下方二维码即可打包下载完整带答案解析版《★电气值班员考试》或《电气值班员考试:电气值班员高级技师考试》题库
33、填空题 电力系统的中性点经消弧线圈接地的系统称为()。
点击查看答案
本题答案:微信扫下方二维码即可打包下载完整带答案解析版《★电气值班员考试》或《电气值班员考试:电气值班员高级技师考试》题库
34、问答题 分裂变压器有何优点?
点击查看答案
本题答案:微信扫下方二维码即可打包下载完整带答案解析版《★电气值班员考试》或《电气值班员考试:电气值班员高级技师考试》题库
35、问答题 简述发电机励磁系统应具备的基本功能。
点击查看答案
本题答案:微信扫下方二维码即可打包下载完整带答案解析版《★电气值班员考试》或《电气值班员考试:电气值班员高级技师考试》题库
36、问答题 引起电压互感器的高压熔断器熔丝熔断的原因是什么?
点击查看答案
本题答案:微信扫下方二维码即可打包下载完整带答案解析版《★电气值班员考试》或《电气值班员考试:电气值班员高级技师考试》题库
37、判断题 同步发电机发生振荡时,应设法增加发电机励磁电流。
点击查看答案
本题答案:微信扫下方二维码即可打包下载完整带答案解析版《★电气值班员考试》或《电气值班员考试:电气值班员高级技师考试》题库
38、问答题 绘图题:画出一个简单的全电路电流回路图。
点击查看答案
本题答案:微信扫下方二维码即可打包下载完整带答案解析版《★电气值班员考试》或《电气值班员考试:电气值班员高级技师考试》题库
39、问答题 一台10/0.4kV、180kVA的三相变压器,实测电压U2=0.4kV,I2=250A,短路电压Uk%=4.5,空载电流I0%=7,空载损耗ΔP0=1kW,短路损耗ΔPk=3.6kW,求变压器总的有功损耗和无功损耗是多少?
点击查看答案
本题答案:微信扫下方二维码即可打包下载完整带答案解析版《★电气值班员考试》或《电气值班员考试:电气值班员高级技师考试》题库
40、判断题 同步发电机的静子三相电流不对称运行时,会引起转子内部过热。
点击查看答案
本题答案:微信扫下方二维码即可打包下载完整带答案解析版《★电气值班员考试》或《电气值班员考试:电气值班员高级技师考试》题库
41、单项选择题 发电机的测量元件(热电偶式)是利用两种不同的金属丝接触点在不同温度时所产生()的不同来测定温度的。
A.电动势;
B.电阻;
C.位移;
D.磁性。
点击查看答案
本题答案:微信扫下方二维码即可打包下载完整带答案解析版《★电气值班员考试》或《电气值班员考试:电气值班员高级技师考试》题库
42、判断题 发电厂的厂用电率是用发电量与厂用电量的比值的百分数表示的。
点击查看答案
本题答案:微信扫下方二维码即可打包下载完整带答案解析版《★电气值班员考试》或《电气值班员考试:电气值班员高级技师考试》题库
43、问答题 什么是GIS设备,什么是C-GIS设备?有什么具体区别?
点击查看答案
本题答案:微信扫下方二维码即可打包下载完整带答案解析版《★电气值班员考试》或《电气值班员考试:电气值班员高级技师考试》题库
44、单项选择题 沿任一回路的任一方向绕行一周,各电源电动势和()各电阻电压降的代数和。
A.大于;
B.小于;
C.等于;
D.不等于。
点击查看答案
本题答案:微信扫下方二维码即可打包下载完整带答案解析版《★电气值班员考试》或《电气值班员考试:电气值班员高级技师考试》题库
45、问答题 方向过流保护用途和原理是什么?
点击查看答案
本题答案:微信扫下方二维码即可打包下载完整带答案解析版《★电气值班员考试》或《电气值班员考试:电气值班员高级技师考试》题库
46、判断题 磁感应强度又叫磁通密度。
点击查看答案
本题答案:微信扫下方二维码即可打包下载完整带答案解析版《★电气值班员考试》或《电气值班员考试:电气值班员高级技师考试》题库
47、问答题 说明电流互感器二次发生开路时的处理方法。
点击查看答案
本题答案:微信扫下方二维码即可打包下载完整带答案解析版《★电气值班员考试》或《电气值班员考试:电气值班员高级技师考试》题库
48、单项选择题 高压开关动稳定电流是指各部件所能承受的电动力效应,所对应的最大短路第1周波峰值,一般为额定断流值的()。
A.2倍;
B.2.55倍;
C.3倍;
D.5倍。
点击查看答案
本题答案:微信扫下方二维码即可打包下载完整带答案解析版《★电气值班员考试》或《电气值班员考试:电气值班员高级技师考试》题库
49、判断题 在几个电阻串联电路中,电压分配与各电阻成正比。
点击查看答案
本题答案:微信扫下方二维码即可打包下载完整带答案解析版《★电气值班员考试》或《电气值班员考试:电气值班员高级技师考试》题库
50、问答题 铅蓄电池产生自放电的主要原因是什么?
点击查看答案
本题答案:微信扫下方二维码即可打包下载完整带答案解析版《★电气值班员考试》或《电气值班员考试:电气值班员高级技师考试》题库
51、问答题 氢冷发电机在运行中氢压降低是什么原因引起的?
点击查看答案
本题答案:微信扫下方二维码即可打包下载完整带答案解析版《★电气值班员考试》或《电气值班员考试:电气值班员高级技师考试》题库
52、单项选择题 同样转速的发电机磁极对数多的电源频率()。
A、低
B、高
C、不变
D、不一定
点击查看答案
本题答案:微信扫下方二维码即可打包下载完整带答案解析版《★电气值班员考试》或《电气值班员考试:电气值班员高级技师考试》题库
53、判断题 载流导线在电场中,要受到力的作用,作用力的方向用左手定则判定。
点击查看答案
本题答案:微信扫下方二维码即可打包下载完整带答案解析版《★电气值班员考试》或《电气值班员考试:电气值班员高级技师考试》题库
54、单项选择题 断路器失灵保护,只能在()时起后备保护。
A.断路器拒动;
B.断路器误动;
C.保护误动;
D.保护拒动。
点击查看答案
本题答案:微信扫下方二维码即可打包下载完整带答案解析版《★电气值班员考试》或《电气值班员考试:电气值班员高级技师考试》题库
55、判断题 电力系统的中性点接地方式,有大接地电流系统和小接地电流系统两种方式。
点击查看答案
本题答案:微信扫下方二维码即可打包下载完整带答案解析版《★电气值班员考试》或《电气值班员考试:电气值班员高级技师考试》题库
56、单项选择题 电阻串联电路的总电阻为各电阻()。
A.倒数之和;
B.之和;
C.之积;
D.之商。
点击查看答案
本题答案:微信扫下方二维码即可打包下载完整带答案解析版《★电气值班员考试》或《电气值班员考试:电气值班员高级技师考试》题库
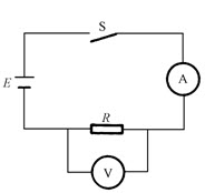
57、问答题
如图所示是测量一般导线电阻的电路,设导线长为2m,截面积S为0.5mm2,如果电流表的读数为1.16A,电压表的读数为2V,求该导线的电阻率是多少?

点击查看答案
本题答案:微信扫下方二维码即可打包下载完整带答案解析版《★电气值班员考试》或《电气值班员考试:电气值班员高级技师考试》题库
58、判断题 直流电动机电枢反应使主磁场去磁。
点击查看答案
本题答案:微信扫下方二维码即可打包下载完整带答案解析版《★电气值班员考试》或《电气值班员考试:电气值班员高级技师考试》题库
59、名词解释 风、雅、颂
点击查看答案
本题答案:微信扫下方二维码即可打包下载完整带答案解析版《★电气值班员考试》或《电气值班员考试:电气值班员高级技师考试》题库
60、判断题 在并联电路中,各支路电流的分配与各支路电阻成反比。
点击查看答案
本题答案:微信扫下方二维码即可打包下载完整带答案解析版《★电气值班员考试》或《电气值班员考试:电气值班员高级技师考试》题库
61、问答题 为什么发电机转子一点接地后容易发生第二点接地?
点击查看答案
本题答案:微信扫下方二维码即可打包下载完整带答案解析版《★电气值班员考试》或《电气值班员考试:电气值班员高级技师考试》题库
62、单项选择题 三绕组降压变压器一般都在高、中压侧装有分接开关,若改变中压侧分接开关的位置()。
A.能改变高、低压侧电压;
B.能改变中、低压侧电压;
C.只改变低压侧电压;
D.只改变中压侧电压。
点击查看答案
本题答案:微信扫下方二维码即可打包下载完整带答案解析版《★电气值班员考试》或《电气值班员考试:电气值班员高级技师考试》题库
63、判断题 发电厂主接线采用双母线接线,可提高供电可靠性,增加灵活性。
点击查看答案
本题答案:微信扫下方二维码即可打包下载完整带答案解析版《★电气值班员考试》或《电气值班员考试:电气值班员高级技师考试》题库
64、判断题 在一个三相电路中,三相分别带着一个电阻、一个电感、一个电容,各项阻抗都等于10?,此时三相负载是对称的。
点击查看答案
本题答案:微信扫下方二维码即可打包下载完整带答案解析版《★电气值班员考试》或《电气值班员考试:电气值班员高级技师考试》题库
65、判断题 把电容器串联在线路上以补偿电路电抗,可以改善电压质量,提高系统稳定性和增加电力输出能力。
点击查看答案
本题答案:微信扫下方二维码即可打包下载完整带答案解析版《★电气值班员考试》或《电气值班员考试:电气值班员高级技师考试》题库
66、单项选择题 电流系统发生接地故障时,零序电流大小取决于()。
A.短路点距电源的远近;
B.中性点接地的数目;
C.系统电压等级的高低;
D.短路类型。
点击查看答案
本题答案:微信扫下方二维码即可打包下载完整带答案解析版《★电气值班员考试》或《电气值班员考试:电气值班员高级技师考试》题库
67、判断题 在半导体中,靠空穴导电的半导体称N型半导体。
点击查看答案
本题答案:微信扫下方二维码即可打包下载完整带答案解析版《★电气值班员考试》或《电气值班员考试:电气值班员高级技师考试》题库
68、判断题 当系统振荡或发生两相短路时,会有零序电压和零序电流出现。
点击查看答案
本题答案:微信扫下方二维码即可打包下载完整带答案解析版《★电气值班员考试》或《电气值班员考试:电气值班员高级技师考试》题库
69、单项选择题 通过一电阻线路的电流为5A,4min后通过该电阻线路横截面的电量是()。
A.20C;
B.50C;
C.1200C;
D.2000C。
点击查看答案
本题答案:微信扫下方二维码即可打包下载完整带答案解析版《★电气值班员考试》或《电气值班员考试:电气值班员高级技师考试》题库
70、判断题 电力系统属于电感、电容系统,当发生单相接地(中性点不接地)时,有可能形成并联谐振,而产生过电压。
点击查看答案
本题答案:微信扫下方二维码即可打包下载完整带答案解析版《★电气值班员考试》或《电气值班员考试:电气值班员高级技师考试》题库
71、判断题 发电机定子绕组发生接地故障时,故障点的零序电压值与故障点距中性点的距离成反比。
点击查看答案
本题答案:微信扫下方二维码即可打包下载完整带答案解析版《★电气值班员考试》或《电气值班员考试:电气值班员高级技师考试》题库
72、判断题 同步发电机失磁时,有功功率表指示在零位。
点击查看答案
本题答案:微信扫下方二维码即可打包下载完整带答案解析版《★电气值班员考试》或《电气值班员考试:电气值班员高级技师考试》题库
73、问答题 电动机的铭牌上有哪些主要数据?
点击查看答案
本题答案:微信扫下方二维码即可打包下载完整带答案解析版《★电气值班员考试》或《电气值班员考试:电气值班员高级技师考试》题库
74、单项选择题 二极管的最大反向电压与电压交流分量有效值的关系是()。
A.
;
B.
;
C.
;
D.
。
点击查看答案
本题答案:微信扫下方二维码即可打包下载完整带答案解析版《★电气值班员考试》或《电气值班员考试:电气值班员高级技师考试》题库
75、判断题 当两个并联支路接通时,电阻小的支路电流大。
点击查看答案
本题答案:微信扫下方二维码即可打包下载完整带答案解析版《★电气值班员考试》或《电气值班员考试:电气值班员高级技师考试》题库
76、判断题 在并联电路中,各支路电流的分配与各支路电阻成反比。
点击查看答案
本题答案:微信扫下方二维码即可打包下载完整带答案解析版《★电气值班员考试》或《电气值班员考试:电气值班员高级技师考试》题库
77、单项选择题
中性点不接地电网,发生单相接地时,故障线路始端的零序电流
与零序电压
的相位关系是()。
A.3
超前3
90°;
B.3
滞后3
90°;
C.3
超前3
110°;
D.3
滞后3
110°。
点击查看答案
本题答案:微信扫下方二维码即可打包下载完整带答案解析版《★电气值班员考试》或《电气值班员考试:电气值班员高级技师考试》题库
78、单项选择题 断路器的最大热稳定电流是指在()s时间内,各部件所能承受热效应所对应的最大短路电流的有效值。
A.0.5;
B.1;
C.5;
D.10。
点击查看答案
本题答案:微信扫下方二维码即可打包下载完整带答案解析版《★电气值班员考试》或《电气值班员考试:电气值班员高级技师考试》题库
79、判断题 断路器是利用交流电流自然过零时熄灭电弧的。
点击查看答案
本题答案:微信扫下方二维码即可打包下载完整带答案解析版《★电气值班员考试》或《电气值班员考试:电气值班员高级技师考试》题库
80、问答题 绘图题:画出三相对称电路,中性点直接接地,当发生单相(A)接地短路时的电路图。
点击查看答案
本题答案:微信扫下方二维码即可打包下载完整带答案解析版《★电气值班员考试》或《电气值班员考试:电气值班员高级技师考试》题库
81、问答题 说明电流互感器二次发生开路时的主要现象。
点击查看答案
本题答案:微信扫下方二维码即可打包下载完整带答案解析版《★电气值班员考试》或《电气值班员考试:电气值班员高级技师考试》题库
82、单项选择题 两个电阻器件的额定功率不同,但额定电压相同,当它们并联在一个电压上时,则功率大的电阻器()。
A.发热量相等;
B.发热量不等;
C.发热量较大;
D.发热量较小。
点击查看答案
本题答案:微信扫下方二维码即可打包下载完整带答案解析版《★电气值班员考试》或《电气值班员考试:电气值班员高级技师考试》题库
83、判断题 电力系统的中性点接地方式,有大接地电流系统和小接地电流系统两种方式。
点击查看答案
本题答案:微信扫下方二维码即可打包下载完整带答案解析版《★电气值班员考试》或《电气值班员考试:电气值班员高级技师考试》题库
84、判断题 在星形连接的电路中,线电压和相电压相等。
点击查看答案
本题答案:微信扫下方二维码即可打包下载完整带答案解析版《★电气值班员考试》或《电气值班员考试:电气值班员高级技师考试》题库
85、判断题 变压器是一种传递电能的设备。
点击查看答案
本题答案:微信扫下方二维码即可打包下载完整带答案解析版《★电气值班员考试》或《电气值班员考试:电气值班员高级技师考试》题库
86、单项选择题 当系统运行方式变小时,电流和电压的保护范围是()。
A.电流保护范围变小,电压保护范围变大;
B.电流保护范围变小,电压保护范围变小;
C.电流保护范围变大,电压保护范围变小;
D.电流保护范围变大,电压保护范围变大。
点击查看答案
本题答案:微信扫下方二维码即可打包下载完整带答案解析版《★电气值班员考试》或《电气值班员考试:电气值班员高级技师考试》题库
87、判断题 为了装设发电机纵差保护,要求发电机中心点侧和引出线侧的电流互感器的特性和变比完全相同。
点击查看答案
本题答案:微信扫下方二维码即可打包下载完整带答案解析版《★电气值班员考试》或《电气值班员考试:电气值班员高级技师考试》题库
88、判断题 电路中由于电压、电流突变引起铁磁谐振时,电压互感器的高压侧熔断器不应熔断。
点击查看答案
本题答案:微信扫下方二维码即可打包下载完整带答案解析版《★电气值班员考试》或《电气值班员考试:电气值班员高级技师考试》题库
89、单项选择题 并联电阻两端的电压()每个电阻两端的电压。
A.大于;
B.小于;
C.等于;
D.不等于。
点击查看答案
本题答案:微信扫下方二维码即可打包下载完整带答案解析版《★电气值班员考试》或《电气值班员考试:电气值班员高级技师考试》题库
90、单项选择题 微机保护的定值存储芯片是()。
A.EEPROM;
B.EPROM;
C.RAM;
D.CPU。
点击查看答案
本题答案:微信扫下方二维码即可打包下载完整带答案解析版《★电气值班员考试》或《电气值班员考试:电气值班员高级技师考试》题库
91、判断题 电力网是由输、配电线路和变、配电装置组成的。
点击查看答案
本题答案:微信扫下方二维码即可打包下载完整带答案解析版《★电气值班员考试》或《电气值班员考试:电气值班员高级技师考试》题库
92、单项选择题 发电机励磁回路发生一点接地后,如不能及时安排检修,允许带病短时运行,但必须投入转子两点接地保护装置,此时应把横差保护()。
A.投入延时;
B.投入瞬时;
C.退出;
D.投入定时
点击查看答案
本题答案:微信扫下方二维码即可打包下载完整带答案解析版《★电气值班员考试》或《电气值班员考试:电气值班员高级技师考试》题库
93、问答题 有两根平行导线,每根长L=50m,线间距离为D=30cm,每根导线通入电流I为800A,求两根导线间的作用力是多少?(真空中导磁系数μ0=4π×10-7H/cm)
点击查看答案
本题答案:微信扫下方二维码即可打包下载完整带答案解析版《★电气值班员考试》或《电气值班员考试:电气值班员高级技师考试》题库
94、问答题 为什么母线要涂有色漆?
点击查看答案
本题答案:微信扫下方二维码即可打包下载完整带答案解析版《★电气值班员考试》或《电气值班员考试:电气值班员高级技师考试》题库
95、单项选择题 在RL串联的交流电路中,复数阻抗X的模Z等于()。
A.R+XL;
B.;
C.R2+
;
D.R2-
。
点击查看答案
本题答案:微信扫下方二维码即可打包下载完整带答案解析版《★电气值班员考试》或《电气值班员考试:电气值班员高级技师考试》题库
96、判断题 电弧是一种气体游离放电现象。
点击查看答案
本题答案:微信扫下方二维码即可打包下载完整带答案解析版《★电气值班员考试》或《电气值班员考试:电气值班员高级技师考试》题库
97、问答题 某工厂单相供电线路的额定电压UN=10kV,平均负荷P=400kW,无功功率Q=260kvar,功率因数较低。现要将该厂的功率因数提高到0.9,需要装多少补偿电容?
点击查看答案
本题答案:微信扫下方二维码即可打包下载完整带答案解析版《★电气值班员考试》或《电气值班员考试:电气值班员高级技师考试》题库
98、问答题 已知变压器容量SN为31500kVA,高压侧电压U1为115kV,且高压侧为星形接法,为消除不平衡电流,高压侧电流互感器采用三角形接线,试求电流互感器标准变比n2及二次电流I1。
点击查看答案
本题答案:微信扫下方二维码即可打包下载完整带答案解析版《★电气值班员考试》或《电气值班员考试:电气值班员高级技师考试》题库
99、单项选择题 发电机的端电压、转速和功率因数不变的情况下,励磁电流与发电机负荷电流的关系曲线称为发电机的()。
A.调整特性;
B.负载特性曲线;
C.外特性曲线;
D.励磁特性曲线。
点击查看答案
本题答案:微信扫下方二维码即可打包下载完整带答案解析版《★电气值班员考试》或《电气值班员考试:电气值班员高级技师考试》题库
100、问答题 一台三相三绕组的变压器,其电压比为121/38.5/11kV,绕组的容量分别为10000/5000/10000kVA,绕组连接为YNynd11,试计算与高、中及低压侧相应的额定电压和电流各是多少?
点击查看答案
本题答案:微信扫下方二维码即可打包下载完整带答案解析版《★电气值班员考试》或《电气值班员考试:电气值班员高级技师考试》题库
101、判断题 电气非破坏性试验主要指测量绝缘电阻、泄漏电流和介质损耗的试验。
点击查看答案
本题答案:微信扫下方二维码即可打包下载完整带答案解析版《★电气值班员考试》或《电气值班员考试:电气值班员高级技师考试》题库
102、判断题 目前,转子两点接地保护多是利用四臂电桥原理构成的。
点击查看答案
本题答案:微信扫下方二维码即可打包下载完整带答案解析版《★电气值班员考试》或《电气值班员考试:电气值班员高级技师考试》题库
103、判断题 二极管两端的电压与电流的关系称为二极管的伏安特性。
点击查看答案
本题答案:微信扫下方二维码即可打包下载完整带答案解析版《★电气值班员考试》或《电气值班员考试:电气值班员高级技师考试》题库
104、单项选择题 有一个内阻可以忽略不计的直流电源,给串联的电阻RA、RB送电,当90的电阻RA短路后,电路中的电流是以前的4倍,则电阻RB的电阻值是()。
A.30;
B.60;
C.180;
D.260。
点击查看答案
本题答案:微信扫下方二维码即可打包下载完整带答案解析版《★电气值班员考试》或《电气值班员考试:电气值班员高级技师考试》题库
105、判断题 三相异步电动机磁极对数越多,其转速越高。
点击查看答案
本题答案:微信扫下方二维码即可打包下载完整带答案解析版《★电气值班员考试》或《电气值班员考试:电气值班员高级技师考试》题库
106、判断题 在电容器两端的电压,不能发生突变。
点击查看答案
本题答案:微信扫下方二维码即可打包下载完整带答案解析版《★电气值班员考试》或《电气值班员考试:电气值班员高级技师考试》题库
107、判断题 接地线必须用专用线夹,当导体上不易挂上时,可采用缠绕的方法接地。
点击查看答案
本题答案:微信扫下方二维码即可打包下载完整带答案解析版《★电气值班员考试》或《电气值班员考试:电气值班员高级技师考试》题库
108、问答题 变压器在什么情况下必须立即停止运行?
点击查看答案
本题答案:微信扫下方二维码即可打包下载完整带答案解析版《★电气值班员考试》或《电气值班员考试:电气值班员高级技师考试》题库
109、判断题 距离保护的时限特性与保护安装处至故障点的距离无关。
点击查看答案
本题答案:微信扫下方二维码即可打包下载完整带答案解析版《★电气值班员考试》或《电气值班员考试:电气值班员高级技师考试》题库
110、判断题 在几个电阻串联电路中,电压分配与各电阻成正比。
点击查看答案
本题答案:微信扫下方二维码即可打包下载完整带答案解析版《★电气值班员考试》或《电气值班员考试:电气值班员高级技师考试》题库
111、单项选择题 R1和R2并联后的总电阻是()。
A.
B.
C.
D.
点击查看答案
本题答案:微信扫下方二维码即可打包下载完整带答案解析版《★电气值班员考试》或《电气值班员考试:电气值班员高级技师考试》题库
112、问答题 绘图题:画出发电机的调节特性图。
点击查看答案
本题答案:微信扫下方二维码即可打包下载完整带答案解析版《★电气值班员考试》或《电气值班员考试:电气值班员高级技师考试》题库
113、判断题 220kV母联充电保护在正常情况下投入。
点击查看答案
本题答案:微信扫下方二维码即可打包下载完整带答案解析版《★电气值班员考试》或《电气值班员考试:电气值班员高级技师考试》题库
114、问答题 电阻R为5,电感L为1.5mH的线圈,与C=25μF的电容器串联。当电源频率为600Hz时,电路的电阻是多大?
点击查看答案
本题答案:微信扫下方二维码即可打包下载完整带答案解析版《★电气值班员考试》或《电气值班员考试:电气值班员高级技师考试》题库
115、问答题 2台100kVA变压器,已知uk%=5,IN=145A,接线组别为Yy0和Yy6,如并列运行,求环流I1的大小?
点击查看答案
本题答案:微信扫下方二维码即可打包下载完整带答案解析版《★电气值班员考试》或《电气值班员考试:电气值班员高级技师考试》题库
116、判断题 晶体三极管的发射极电流控制集电极电流,而集电极电流的大小又受基极电流的控制。
点击查看答案
本题答案:微信扫下方二维码即可打包下载完整带答案解析版《★电气值班员考试》或《电气值班员考试:电气值班员高级技师考试》题库
117、单项选择题 发电机长期进相运行,会使发电机()过热。
A.定子端部;
B.定子铁芯;
C.转子绕组;
D.转子铁芯。
点击查看答案
本题答案:微信扫下方二维码即可打包下载完整带答案解析版《★电气值班员考试》或《电气值班员考试:电气值班员高级技师考试》题库
118、判断题 电流互感器二次回路采用多点接地,易造成保护拒绝动作。
点击查看答案
本题答案:微信扫下方二维码即可打包下载完整带答案解析版《★电气值班员考试》或《电气值班员考试:电气值班员高级技师考试》题库
119、判断题 同步发电机的静子三相电流不对称运行时,会引起转子内部过热。
点击查看答案
本题答案:微信扫下方二维码即可打包下载完整带答案解析版《★电气值班员考试》或《电气值班员考试:电气值班员高级技师考试》题库
120、问答题 说出母差保护作用。母差保护动作后应闭锁哪些保护?
点击查看答案
本题答案:微信扫下方二维码即可打包下载完整带答案解析版《★电气值班员考试》或《电气值班员考试:电气值班员高级技师考试》题库
121、单项选择题 在电力系统中,由于操作失误或故障发生之后,在系统某些部分形成自振回路,当自振频率与电网频率满足一定关系而发生谐振时,引起的过电压持续时间()。
A.较短;
B.较长;
C.有很长周期性;
D.不变。
点击查看答案
本题答案:微信扫下方二维码即可打包下载完整带答案解析版《★电气值班员考试》或《电气值班员考试:电气值班员高级技师考试》题库
122、判断题 电桥是把已知标准量与被测量进行比较而测出被测量的值,故称为比较式测量仪器。
点击查看答案
本题答案:微信扫下方二维码即可打包下载完整带答案解析版《★电气值班员考试》或《电气值班员考试:电气值班员高级技师考试》题库
123、判断题 为了装设发电机纵差保护,要求发电机中心点侧和引出线侧的电流互感器的特性和变比完全相同。
点击查看答案
本题答案:微信扫下方二维码即可打包下载完整带答案解析版《★电气值班员考试》或《电气值班员考试:电气值班员高级技师考试》题库
124、问答题 发电机转子绕组发生两点接地有哪些危害?
点击查看答案
本题答案:微信扫下方二维码即可打包下载完整带答案解析版《★电气值班员考试》或《电气值班员考试:电气值班员高级技师考试》题库
125、单项选择题 为了保证装在小间内的变压器运行安全,变压器小间内必须设有良好的()。
A.卫生设施;
B.通风条件;
C.照明条件;
D.调温设施。
点击查看答案
本题答案:微信扫下方二维码即可打包下载完整带答案解析版《★电气值班员考试》或《电气值班员考试:电气值班员高级技师考试》题库
126、判断题 发电机定子绕组发生接地故障时,故障点的零序电压值与故障点距中性点的距离成反比。
点击查看答案
本题答案:微信扫下方二维码即可打包下载完整带答案解析版《★电气值班员考试》或《电气值班员考试:电气值班员高级技师考试》题库
127、判断题 高压少油断路器,一般是采用变压器油作为灭弧介质的。
点击查看答案
本题答案:微信扫下方二维码即可打包下载完整带答案解析版《★电气值班员考试》或《电气值班员考试:电气值班员高级技师考试》题库
128、填空题 发电机的三相电流之差不得超过额定电流的()。
点击查看答案
本题答案:微信扫下方二维码即可打包下载完整带答案解析版《★电气值班员考试》或《电气值班员考试:电气值班员高级技师考试》题库
129、单项选择题 铝材料与铜材料相比较,两者导电性能为()。
A.铝比铜好;
B.铜比铝好;
C.铜铝一样;
D.不一定。
点击查看答案
本题答案:微信扫下方二维码即可打包下载完整带答案解析版《★电气值班员考试》或《电气值班员考试:电气值班员高级技师考试》题库
130、单项选择题 阻抗继电器中接入第三相电压,是为了()。
A.防止保护安装处正向两相金属性短路时方向阻抗继电器不动作;
B.防止保护安装处反向两相金属性短路时方向阻抗继电器误动作;
C.防止保护安装处正向三相短路时方向阻抗继电器不动作;
D.提高灵敏度。
点击查看答案
本题答案:微信扫下方二维码即可打包下载完整带答案解析版《★电气值班员考试》或《电气值班员考试:电气值班员高级技师考试》题库
131、判断题 深槽式电动机是利用交变电流的集肤作用来增加转子绕组启动时的电阻,改善启动特性的。
点击查看答案
本题答案:微信扫下方二维码即可打包下载完整带答案解析版《★电气值班员考试》或《电气值班员考试:电气值班员高级技师考试》题库
132、问答题 备用电源自投入装置一般有哪几种基本方式?
点击查看答案
本题答案:微信扫下方二维码即可打包下载完整带答案解析版《★电气值班员考试》或《电气值班员考试:电气值班员高级技师考试》题库
133、判断题 在星形连接的电路中,线电压和相电压相等。
点击查看答案
本题答案:微信扫下方二维码即可打包下载完整带答案解析版《★电气值班员考试》或《电气值班员考试:电气值班员高级技师考试》题库
134、问答题 某台双水内冷发电机,其定子线电压UL为13.8kV,线电流IL为6150A,若负载的功率因数由0.85降到0.6时,求该发电机有功功率和无功功率任何变化?
点击查看答案
本题答案:微信扫下方二维码即可打包下载完整带答案解析版《★电气值班员考试》或《电气值班员考试:电气值班员高级技师考试》题库
135、判断题 双鼠笼电动机的外鼠笼电阻大,感抗小,启动时产生较大力矩。
点击查看答案
本题答案:微信扫下方二维码即可打包下载完整带答案解析版《★电气值班员考试》或《电气值班员考试:电气值班员高级技师考试》题库
136、问答题
R、L、C串联电路,R=4Ω、L=0.015H、C=0.001F,外施电压u=220sin(377t)。求:(1)功率因数cos
;(2)回路电流I;(3)有功功率P、无功功率Q、视在功率S;(4)一个月(30天)消耗的电量。
点击查看答案
本题答案:微信扫下方二维码即可打包下载完整带答案解析版《★电气值班员考试》或《电气值班员考试:电气值班员高级技师考试》题库
137、判断题 无论在变压器投入运行的过程中,还是在停用的过程中,均应先接通各侧中性点接地隔离开关。
点击查看答案
本题答案:微信扫下方二维码即可打包下载完整带答案解析版《★电气值班员考试》或《电气值班员考试:电气值班员高级技师考试》题库
138、判断题 接地线必须用专用线夹,当导体上不易挂上时,可采用缠绕的方法接地。
点击查看答案
本题答案:微信扫下方二维码即可打包下载完整带答案解析版《★电气值班员考试》或《电气值班员考试:电气值班员高级技师考试》题库
139、单项选择题 发电厂厂用变压器控制盘上,通常装设的电气仪表有()。
A.电流、电压表;
B.电流、有功表;
C.电压、有功表;
D.电流、无功表。
点击查看答案
本题答案:微信扫下方二维码即可打包下载完整带答案解析版《★电气值班员考试》或《电气值班员考试:电气值班员高级技师考试》题库
140、判断题 电力系统属于电感、电容系统,当发生单相接地(中性点不接地)时,有可能形成并联谐振,而产生过电压。
点击查看答案
本题答案:微信扫下方二维码即可打包下载完整带答案解析版《★电气值班员考试》或《电气值班员考试:电气值班员高级技师考试》题库
141、问答题 论述高压断路器主要参数及含义。
点击查看答案
本题答案:微信扫下方二维码即可打包下载完整带答案解析版《★电气值班员考试》或《电气值班员考试:电气值班员高级技师考试》题库
142、判断题 双鼠笼电动机的内鼠笼电阻小,感抗大,启动时产生的力矩较小。
点击查看答案
本题答案:微信扫下方二维码即可打包下载完整带答案解析版《★电气值班员考试》或《电气值班员考试:电气值班员高级技师考试》题库
143、判断题 当两个并联支路接通时,电阻小的支路电流大。
点击查看答案
本题答案:微信扫下方二维码即可打包下载完整带答案解析版《★电气值班员考试》或《电气值班员考试:电气值班员高级技师考试》题库
144、判断题 在中性点不接地的系统中,发生单相接地故障时,其线电压不变。
点击查看答案
本题答案:微信扫下方二维码即可打包下载完整带答案解析版《★电气值班员考试》或《电气值班员考试:电气值班员高级技师考试》题库
145、单项选择题 变压器绕组之间及绕组与接地部分之间的绝缘称为()。
A.分级绝缘;
B.全绝缘;
C.主绝缘;
D.纵绝缘。
点击查看答案
本题答案:微信扫下方二维码即可打包下载完整带答案解析版《★电气值班员考试》或《电气值班员考试:电气值班员高级技师考试》题库
146、判断题 变比不相等的两台变压器并联运行只会使负载分配不合理。
点击查看答案
本题答案:微信扫下方二维码即可打包下载完整带答案解析版《★电气值班员考试》或《电气值班员考试:电气值班员高级技师考试》题库
147、判断题 变比不相等的两台变压器并联运行只会使负载分配不合理。
点击查看答案
本题答案:微信扫下方二维码即可打包下载完整带答案解析版《★电气值班员考试》或《电气值班员考试:电气值班员高级技师考试》题库
148、判断题 在中性点直接接地的系统中,发生单相接地故障,非故障相对地电压将升高。
点击查看答案
本题答案:微信扫下方二维码即可打包下载完整带答案解析版《★电气值班员考试》或《电气值班员考试:电气值班员高级技师考试》题库
149、判断题 在电容器两端的电压,不能发生突变。
点击查看答案
本题答案:微信扫下方二维码即可打包下载完整带答案解析版《★电气值班员考试》或《电气值班员考试:电气值班员高级技师考试》题库
150、单项选择题 变压器的过电流保护,加装低电压保护元件是()。
A.提高保护的灵敏度;
B.提高保护的选择性;
C.提高保护的可靠性;
D.提高保护的速动性。
点击查看答案
本题答案:微信扫下方二维码即可打包下载完整带答案解析版《★电气值班员考试》或《电气值班员考试:电气值班员高级技师考试》题库
151、单项选择题 三相异步电动机的负载减小时,其功率因数()。
A.增大;
B.减小;
C.不变;
D.可能增大或减小。
点击查看答案
本题答案:微信扫下方二维码即可打包下载完整带答案解析版《★电气值班员考试》或《电气值班员考试:电气值班员高级技师考试》题库
152、问答题 铅蓄电池的电动势与哪些因素有关?
点击查看答案
本题答案:微信扫下方二维码即可打包下载完整带答案解析版《★电气值班员考试》或《电气值班员考试:电气值班员高级技师考试》题库
153、判断题 把电容器串联在线路上以补偿电路电抗,可以改善电压质量,提高系统稳定性和增加电力输出能力。
点击查看答案
本题答案:微信扫下方二维码即可打包下载完整带答案解析版《★电气值班员考试》或《电气值班员考试:电气值班员高级技师考试》题库
154、判断题 发电机定子单相接地故障的主要危害是电弧烧伤定子铁芯。
点击查看答案
本题答案:微信扫下方二维码即可打包下载完整带答案解析版《★电气值班员考试》或《电气值班员考试:电气值班员高级技师考试》题库
155、单项选择题 电阻串联电路的总电压()各电阻的电压降之和。
A.大于;
B.小于;
C.等于;
D.不等于。
点击查看答案
本题答案:微信扫下方二维码即可打包下载完整带答案解析版《★电气值班员考试》或《电气值班员考试:电气值班员高级技师考试》题库
156、判断题 在一个三相电路中,三相分别带着一个电阻、一个电感、一个电容,各项阻抗都等于10?,此时三相负载是对称的。
点击查看答案
本题答案:微信扫下方二维码即可打包下载完整带答案解析版《★电气值班员考试》或《电气值班员考试:电气值班员高级技师考试》题库
157、多项选择题 为有效规避抵押物价值变化带来的信用风险,商业银行可以采取的措施有()。
A.按合同规定提前收回贷款
B.及时处置抵押物提前收回贷款
C.更换为其他的足值抵押物
D.重新评估抵押物价值
E.要求借款人恢复抵押物价值
点击查看答案
本题答案:微信扫下方二维码即可打包下载完整带答案解析版《★电气值班员考试》或《电气值班员考试:电气值班员高级技师考试》题库
158、单项选择题 高起始励磁系统即快速励磁是指在0.1s内AVR装置可将发电机机端电压升至()的顶值电压,且下降时间小于0.15s。
A.85%;
B.90%;
C.95%;
D.100%。
点击查看答案
本题答案:微信扫下方二维码即可打包下载完整带答案解析版《★电气值班员考试》或《电气值班员考试:电气值班员高级技师考试》题库
159、问答题 如何改变三相异步电动机的转子转向?
点击查看答案
本题答案:微信扫下方二维码即可打包下载完整带答案解析版《★电气值班员考试》或《电气值班员考试:电气值班员高级技师考试》题库
160、问答题 变电设备遇到自然灾害怎样处理?
点击查看答案
本题答案:微信扫下方二维码即可打包下载完整带答案解析版《★电气值班员考试》或《电气值班员考试:电气值班员高级技师考试》题库
161、判断题 同步发电机失磁时,功率因数表指示进相。
点击查看答案
本题答案:微信扫下方二维码即可打包下载完整带答案解析版《★电气值班员考试》或《电气值班员考试:电气值班员高级技师考试》题库
162、问答题 运行中的电流互感器可能出现哪些异常现象?
点击查看答案
本题答案:微信扫下方二维码即可打包下载完整带答案解析版《★电气值班员考试》或《电气值班员考试:电气值班员高级技师考试》题库
163、判断题 变压器投入运行后,它的励磁电流几乎不变。
点击查看答案
本题答案:微信扫下方二维码即可打包下载完整带答案解析版《★电气值班员考试》或《电气值班员考试:电气值班员高级技师考试》题库
164、问答题 在何种情况下,蓄电池室内易引起爆炸?如何防止? 蓄电池在充电过程中,水被分解产生大量的氢气和氧气。如果这些混合的气体,不能及时排出室外,一遇火花,就会引起爆炸。
点击查看答案
本题答案:微信扫下方二维码即可打包下载完整带答案解析版《★电气值班员考试》或《电气值班员考试:电气值班员高级技师考试》题库
165、单项选择题 在远动系统中,主站与RTU的常用通信方式是()。
A.半工通信;
B.半双工通信;
C.全双工通信;
D.微波通信。
点击查看答案
本题答案:微信扫下方二维码即可打包下载完整带答案解析版《★电气值班员考试》或《电气值班员考试:电气值班员高级技师考试》题库
166、判断题 电流互感器二次回路只允许有一个接地点。
点击查看答案
本题答案:微信扫下方二维码即可打包下载完整带答案解析版《★电气值班员考试》或《电气值班员考试:电气值班员高级技师考试》题库
167、问答题 什么叫变压器的并联运行?
点击查看答案
本题答案:微信扫下方二维码即可打包下载完整带答案解析版《★电气值班员考试》或《电气值班员考试:电气值班员高级技师考试》题库
168、问答题 异步电动机在运行中,电流不稳,电流表指针摆动如何处理?
点击查看答案
本题答案:微信扫下方二维码即可打包下载完整带答案解析版《★电气值班员考试》或《电气值班员考试:电气值班员高级技师考试》题库
169、问答题 蓄电池的内阻与哪些因素有关?
点击查看答案
本题答案:微信扫下方二维码即可打包下载完整带答案解析版《★电气值班员考试》或《电气值班员考试:电气值班员高级技师考试》题库
170、判断题 绕线式异步电动机在运行中,转子回路电阻增大,转速降低;电阻减少,转速升高。
点击查看答案
本题答案:微信扫下方二维码即可打包下载完整带答案解析版《★电气值班员考试》或《电气值班员考试:电气值班员高级技师考试》题库
171、判断题 在雷雨时,电气运行值班人员可以允许在露天配电设备附近工作。
点击查看答案
本题答案:微信扫下方二维码即可打包下载完整带答案解析版《★电气值班员考试》或《电气值班员考试:电气值班员高级技师考试》题库
172、判断题 电动机启动时间的长短与频率的高低有直接关系。
点击查看答案
本题答案:微信扫下方二维码即可打包下载完整带答案解析版《★电气值班员考试》或《电气值班员考试:电气值班员高级技师考试》题库
173、判断题 通过电感线圈的电流,不能发生突变。
点击查看答案
本题答案:微信扫下方二维码即可打包下载完整带答案解析版《★电气值班员考试》或《电气值班员考试:电气值班员高级技师考试》题库
174、问答题 绘图题:画出一个简单直流电桥原理接线图。
点击查看答案
本题答案:微信扫下方二维码即可打包下载完整带答案解析版《★电气值班员考试》或《电气值班员考试:电气值班员高级技师考试》题库
175、判断题 电流互感器二次回路采用多点接地,易造成保护拒绝动作。
点击查看答案
本题答案:微信扫下方二维码即可打包下载完整带答案解析版《★电气值班员考试》或《电气值班员考试:电气值班员高级技师考试》题库
176、问答题 晶体管有哪些极限参数?
点击查看答案
本题答案:微信扫下方二维码即可打包下载完整带答案解析版《★电气值班员考试》或《电气值班员考试:电气值班员高级技师考试》题库
177、判断题 继电保护和自动装置屏的前后,必须有明显的同一名称标志及标称符号,目的是防止工作时走错间隔或误拆、动设备,造成保护在运行中误动作。
点击查看答案
本题答案:微信扫下方二维码即可打包下载完整带答案解析版《★电气值班员考试》或《电气值班员考试:电气值班员高级技师考试》题库
178、判断题 同步发电机失磁时,吸收有功功率,送出无功功率。
点击查看答案
本题答案:微信扫下方二维码即可打包下载完整带答案解析版《★电气值班员考试》或《电气值班员考试:电气值班员高级技师考试》题库
179、问答题 绘图题:画出一个π形接线电路图。
点击查看答案
本题答案:微信扫下方二维码即可打包下载完整带答案解析版《★电气值班员考试》或《电气值班员考试:电气值班员高级技师考试》题库
180、问答题 一台三相电力变压器的一次绕组的电压U1为6kV,二次绕组电压U2为230V,求该台变压器的变比K是多少?若一次绕组N1为1500匝,试求二次绕组N2多少匝?
点击查看答案
本题答案:微信扫下方二维码即可打包下载完整带答案解析版《★电气值班员考试》或《电气值班员考试:电气值班员高级技师考试》题库
181、问答题 变压器气体保护动作跳闸的原因有哪些?
点击查看答案
本题答案:微信扫下方二维码即可打包下载完整带答案解析版《★电气值班员考试》或《电气值班员考试:电气值班员高级技师考试》题库
182、单项选择题 对凸极式的水轮发电机承受不平衡负荷的限制,主要是由转子()决定的。
A.发热条件;
B.振动条件;
C.磁场均匀性;
D.电流。
点击查看答案
本题答案:微信扫下方二维码即可打包下载完整带答案解析版《★电气值班员考试》或《电气值班员考试:电气值班员高级技师考试》题库
183、判断题 保护连接片投入前,应使用高内阻电压表测量连接片两端无电压后,方可投入。
点击查看答案
本题答案:微信扫下方二维码即可打包下载完整带答案解析版《★电气值班员考试》或《电气值班员考试:电气值班员高级技师考试》题库
184、判断题 发电机作调相机运行时,励磁电流不得超过额定值。
点击查看答案
本题答案:微信扫下方二维码即可打包下载完整带答案解析版《★电气值班员考试》或《电气值班员考试:电气值班员高级技师考试》题库
185、单项选择题 自动励磁调节器的投入使发电机的极限功率增大,其极限功率出现在功角()。
A.小于90°附近;
B.等于90°;
C.大于90°附近;
D.小于180°。
点击查看答案
本题答案:微信扫下方二维码即可打包下载完整带答案解析版《★电气值班员考试》或《电气值班员考试:电气值班员高级技师考试》题库
186、问答题
有一台型号为JO4—42—4三相异步电动机,功率为5.5kW,接入380V的工频电压,测得电流为11.3A,转速n1为1440r/min,采用三角形接线,功率因数为0.85,求在额定工况下电动机的效率
和转差率s。
点击查看答案
本题答案:微信扫下方二维码即可打包下载完整带答案解析版《★电气值班员考试》或《电气值班员考试:电气值班员高级技师考试》题库
187、单项选择题 发电机的测温元件(热电偶式)是利用两种不同金属丝的接触点,在不同温度时所产生的()不同来测定温度的。
A.电动势;
B.电阻;
C.位移;
D.不变。
点击查看答案
本题答案:微信扫下方二维码即可打包下载完整带答案解析版《★电气值班员考试》或《电气值班员考试:电气值班员高级技师考试》题库
188、判断题 电场中两点之间没有电位差,就不会出现电流。
点击查看答案
本题答案:微信扫下方二维码即可打包下载完整带答案解析版《★电气值班员考试》或《电气值班员考试:电气值班员高级技师考试》题库
189、单项选择题 在可控硅整流装置中,自动稳流调整回路常采用直流互感器作为()。
A.保护用元件;
B.测量用元件;
C.反馈元件;
D.正反馈元件。
点击查看答案
本题答案:微信扫下方二维码即可打包下载完整带答案解析版《★电气值班员考试》或《电气值班员考试:电气值班员高级技师考试》题库
190、判断题 同步发电机失磁时,吸收有功功率,送出无功功率。
点击查看答案
本题答案:微信扫下方二维码即可打包下载完整带答案解析版《★电气值班员考试》或《电气值班员考试:电气值班员高级技师考试》题库
191、判断题 电容器接到直流回路上,只有充电和放电时,才有电流流过。充电、放电过程一旦结束,电路中就不会再有电流流过。
点击查看答案
本题答案:微信扫下方二维码即可打包下载完整带答案解析版《★电气值班员考试》或《电气值班员考试:电气值班员高级技师考试》题库
192、单项选择题 为了保证氢冷发电机的氢气不从两侧端盖与轴之间溢出,运行中要保持密封瓦的油压()氢压。
A.大于;
B.等于;
C.小于;
D.近似于。
点击查看答案
本题答案:微信扫下方二维码即可打包下载完整带答案解析版《★电气值班员考试》或《电气值班员考试:电气值班员高级技师考试》题库
193、单项选择题 大型变压器无载调压,每两相邻分接头的电压差一般为额定电压的()。
A.10%;
B.7.5%;
C.5%;
D.2.5%。
点击查看答案
本题答案:微信扫下方二维码即可打包下载完整带答案解析版《★电气值班员考试》或《电气值班员考试:电气值班员高级技师考试》题库
194、单项选择题 二极管的最大反向电压与电压交流分量有效值的关系是()。
A.
;
B.
;
C.
;
D.
。
点击查看答案
本题答案:微信扫下方二维码即可打包下载完整带答案解析版《★电气值班员考试》或《电气值班员考试:电气值班员高级技师考试》题库
195、判断题 水轮发电机转子回路发生一点接地时,允许继续运行2h。
点击查看答案
本题答案:微信扫下方二维码即可打包下载完整带答案解析版《★电气值班员考试》或《电气值班员考试:电气值班员高级技师考试》题库
196、判断题 220kV母联充电保护在正常情况下投入。
点击查看答案
本题答案:微信扫下方二维码即可打包下载完整带答案解析版《★电气值班员考试》或《电气值班员考试:电气值班员高级技师考试》题库
197、判断题 在电容器的特性中,最重要的参数是电容量及介质损耗。
点击查看答案
本题答案:微信扫下方二维码即可打包下载完整带答案解析版《★电气值班员考试》或《电气值班员考试:电气值班员高级技师考试》题库
198、问答题 为何要在发电机滑环表面铣出沟槽?
点击查看答案
本题答案:微信扫下方二维码即可打包下载完整带答案解析版《★电气值班员考试》或《电气值班员考试:电气值班员高级技师考试》题库
199、判断题 变压器油枕油位计的+40℃油位线是表示环境温度在+40℃时的油标准位置线。
点击查看答案
本题答案:微信扫下方二维码即可打包下载完整带答案解析版《★电气值班员考试》或《电气值班员考试:电气值班员高级技师考试》题库
200、问答题 绘图题:画出由二极管组成的或门电路。
点击查看答案
本题答案:微信扫下方二维码即可打包下载完整带答案解析版《★电气值班员考试》或《电气值班员考试:电气值班员高级技师考试》题库
201、判断题 两个平行的载流导线之间存在电磁力的作用,两导线中电流方向相同时,作用力相斥,电流方向相反时,作用力相吸。
点击查看答案
本题答案:微信扫下方二维码即可打包下载完整带答案解析版《★电气值班员考试》或《电气值班员考试:电气值班员高级技师考试》题库
202、判断题 晶体三极管的发射极电流控制集电极电流,而集电极电流的大小又受基极电流的控制。
点击查看答案
本题答案:微信扫下方二维码即可打包下载完整带答案解析版《★电气值班员考试》或《电气值班员考试:电气值班员高级技师考试》题库
203、判断题 双鼠笼电动机的外鼠笼电阻大,感抗小,启动时产生较大力矩。
点击查看答案
本题答案:微信扫下方二维码即可打包下载完整带答案解析版《★电气值班员考试》或《电气值班员考试:电气值班员高级技师考试》题库
204、问答题 绘图题:画出直流电动机正、反转控制回路图。
点击查看答案
本题答案:微信扫下方二维码即可打包下载完整带答案解析版《★电气值班员考试》或《电气值班员考试:电气值班员高级技师考试》题库
205、判断题 电场中任意一点的电场强度,在数值上等于放在该点的电荷所受电场力的大小,电场强度的方向就是电荷受力的方向。
点击查看答案
本题答案:微信扫下方二维码即可打包下载完整带答案解析版《★电气值班员考试》或《电气值班员考试:电气值班员高级技师考试》题库
206、问答题
一台单相220V电容式电动机,其主绕组的阻抗Z1=2120+j2120Ω,启动绕组的阻抗Z2=Z1,串入启动绕组中的电容器容抗为4240Ω,求两个绕组中的电流各为多少?
点击查看答案
本题答案:微信扫下方二维码即可打包下载完整带答案解析版《★电气值班员考试》或《电气值班员考试:电气值班员高级技师考试》题库
207、判断题 通过电感线圈的电流,不能发生突变。
点击查看答案
本题答案:微信扫下方二维码即可打包下载完整带答案解析版《★电气值班员考试》或《电气值班员考试:电气值班员高级技师考试》题库
208、问答题
已知控制电缆型号KVV29-500型,同路最大负荷电流
=2.5A,额定电压UN=220V,电缆长度L=250m,
铜的电阻率
,导线的允许压降不应超过额定电压的5%,求控制信号馈线电缆的截面积S。
点击查看答案
本题答案:微信扫下方二维码即可打包下载完整带答案解析版《★电气值班员考试》或《电气值班员考试:电气值班员高级技师考试》题库
209、判断题 晶体三极管的开关特性是指控制基极电流,使晶体管处于放大状态和截止关闭状态。
点击查看答案
本题答案:微信扫下方二维码即可打包下载完整带答案解析版《★电气值班员考试》或《电气值班员考试:电气值班员高级技师考试》题库
210、问答题 发电机—变压器组运行中,造成过励磁原因有哪些?
点击查看答案
本题答案:微信扫下方二维码即可打包下载完整带答案解析版《★电气值班员考试》或《电气值班员考试:电气值班员高级技师考试》题库
211、单项选择题
在星形接线的三相对称电路中,线电压
与相电压
的相位关系是()。
A.
超前
30°;
B.
滞后
30°;
C.
超前
120°;
D.
滞后
120°
点击查看答案
本题答案:微信扫下方二维码即可打包下载完整带答案解析版《★电气值班员考试》或《电气值班员考试:电气值班员高级技师考试》题库
212、判断题 在小电流、低电压的电路中,隔离开关具有一定的自然灭弧能力。
点击查看答案
本题答案:微信扫下方二维码即可打包下载完整带答案解析版《★电气值班员考试》或《电气值班员考试:电气值班员高级技师考试》题库
213、判断题 在变压器中,输出电能的绕组叫作一次绕组,吸取电能的绕组叫作二次绕组。
点击查看答案
本题答案:微信扫下方二维码即可打包下载完整带答案解析版《★电气值班员考试》或《电气值班员考试:电气值班员高级技师考试》题库
214、判断题 常见的操作过电压有切合空载长线、切除空载变压器、切合电容器引起的过电压及弧光接地过电压等。
点击查看答案
本题答案:微信扫下方二维码即可打包下载完整带答案解析版《★电气值班员考试》或《电气值班员考试:电气值班员高级技师考试》题库
215、问答题 发电机运行特性曲线(P-Q曲线)四个限制条件是什么?
点击查看答案
本题答案:微信扫下方二维码即可打包下载完整带答案解析版《★电气值班员考试》或《电气值班员考试:电气值班员高级技师考试》题库
216、判断题 两条各自通过反向电流的平行导线之间是互相吸引的。
点击查看答案
本题答案:微信扫下方二维码即可打包下载完整带答案解析版《★电气值班员考试》或《电气值班员考试:电气值班员高级技师考试》题库
217、问答题 电动机启动电流大有无危险?
点击查看答案
本题答案:微信扫下方二维码即可打包下载完整带答案解析版《★电气值班员考试》或《电气值班员考试:电气值班员高级技师考试》题库
218、问答题 水内冷发电机的冷却水质量应符合哪些要求?
点击查看答案
本题答案:微信扫下方二维码即可打包下载完整带答案解析版《★电气值班员考试》或《电气值班员考试:电气值班员高级技师考试》题库
219、判断题 电场中任意一点的电场强度,在数值上等于放在该点的电荷所受电场力的大小,电场强度的方向就是电荷受力的方向。
点击查看答案
本题答案:微信扫下方二维码即可打包下载完整带答案解析版《★电气值班员考试》或《电气值班员考试:电气值班员高级技师考试》题库
220、单项选择题 把额定电压为220V的灯泡接在110V的电源上,灯泡的功率是原来的()。
A.1/2;
B.1/8;
C.1/4;
D.1/10。
点击查看答案
本题答案:微信扫下方二维码即可打包下载完整带答案解析版《★电气值班员考试》或《电气值班员考试:电气值班员高级技师考试》题库
221、问答题
如图所示为35kV系统的等效网络,试计算在k点发生两相短路时的电流及M点的残压(图中的阻抗以100MVA为基准的标么值,35kV系统取平均电压37kV)。

点击查看答案
本题答案:微信扫下方二维码即可打包下载完整带答案解析版《★电气值班员考试》或《电气值班员考试:电气值班员高级技师考试》题库
222、问答题 绘图题:画出三段式零序电流方向保护装置原理接线图。
点击查看答案
本题答案:微信扫下方二维码即可打包下载完整带答案解析版《★电气值班员考试》或《电气值班员考试:电气值班员高级技师考试》题库
223、判断题 当系统振荡或发生两相短路时,会有零序电压和零序电流出现。
点击查看答案
本题答案:微信扫下方二维码即可打包下载完整带答案解析版《★电气值班员考试》或《电气值班员考试:电气值班员高级技师考试》题库
224、判断题 在并联电路中,各支路电压的分配与支路电阻的倒数成正比。
点击查看答案
本题答案:微信扫下方二维码即可打包下载完整带答案解析版《★电气值班员考试》或《电气值班员考试:电气值班员高级技师考试》题库
225、判断题 发电厂的厂用电率是用发电量与厂用电量的比值的百分数表示的。
点击查看答案
本题答案:微信扫下方二维码即可打包下载完整带答案解析版《★电气值班员考试》或《电气值班员考试:电气值班员高级技师考试》题库
226、判断题 电力系统是由发电厂,变、配电装置,电力线路和用户组成。
点击查看答案
本题答案:微信扫下方二维码即可打包下载完整带答案解析版《★电气值班员考试》或《电气值班员考试:电气值班员高级技师考试》题库
227、判断题 双鼠笼电动机的内鼠笼电阻小,感抗大,启动时产生的力矩较小。
点击查看答案
本题答案:微信扫下方二维码即可打包下载完整带答案解析版《★电气值班员考试》或《电气值班员考试:电气值班员高级技师考试》题库
228、问答题 绘图题:画出三相异步电动机/△起动原理接线图。
点击查看答案
本题答案:微信扫下方二维码即可打包下载完整带答案解析版《★电气值班员考试》或《电气值班员考试:电气值班员高级技师考试》题库
229、问答题 处理生产事故的一般原则是什么?处理事故的主要任务及对运行人员的要求是什么?
点击查看答案
本题答案:微信扫下方二维码即可打包下载完整带答案解析版《★电气值班员考试》或《电气值班员考试:电气值班员高级技师考试》题库
230、问答题 油断路器油面过高或过低有何影响?
点击查看答案
本题答案:微信扫下方二维码即可打包下载完整带答案解析版《★电气值班员考试》或《电气值班员考试:电气值班员高级技师考试》题库
231、判断题 在半导体中,靠空穴导电的半导体称N型半导体。
点击查看答案
本题答案:微信扫下方二维码即可打包下载完整带答案解析版《★电气值班员考试》或《电气值班员考试:电气值班员高级技师考试》题库
232、判断题 直流电动机电枢反应使主磁场去磁。
点击查看答案
本题答案:微信扫下方二维码即可打包下载完整带答案解析版《★电气值班员考试》或《电气值班员考试:电气值班员高级技师考试》题库
233、单项选择题 电阻通电流后所产生的热量与电流平方、电阻及通电的时间成正比,这就是()。
A.基尔霍夫定律;
B.楞次定律;
C.焦耳-楞次定律;
D.焦耳定律。
点击查看答案
本题答案:微信扫下方二维码即可打包下载完整带答案解析版《★电气值班员考试》或《电气值班员考试:电气值班员高级技师考试》题库
234、问答题 发电机失磁导致异步运行时的处理原则。
点击查看答案
本题答案:微信扫下方二维码即可打包下载完整带答案解析版《★电气值班员考试》或《电气值班员考试:电气值班员高级技师考试》题库
235、判断题 两个平行的载流导线之间存在电磁力的作用,两导线中电流方向相同时,作用力相斥,电流方向相反时,作用力相吸。
点击查看答案
本题答案:微信扫下方二维码即可打包下载完整带答案解析版《★电气值班员考试》或《电气值班员考试:电气值班员高级技师考试》题库
236、单项选择题 发电机振荡成失步时,一般采取增加发电机励磁,其目的是()。
A.提高发电机电压;
B.多向系统输出无功;
C.增加定子与转子磁极间的拉力;
D.增加输出电流。
点击查看答案
本题答案:微信扫下方二维码即可打包下载完整带答案解析版《★电气值班员考试》或《电气值班员考试:电气值班员高级技师考试》题库
237、判断题 电场中两点之间没有电位差,就不会出现电流。
点击查看答案
本题答案:微信扫下方二维码即可打包下载完整带答案解析版《★电气值班员考试》或《电气值班员考试:电气值班员高级技师考试》题库
238、问答题
一条直流线路,原来用的是截面积SC为20mm2的橡皮绝缘铜线,现因绝缘老化要换新线,并决定改用铝线,要求导线传输能力不改变。试求所需铝线的截面积SA
点击查看答案
本题答案:微信扫下方二维码即可打包下载完整带答案解析版《★电气值班员考试》或《电气值班员考试:电气值班员高级技师考试》题库
239、问答题 氢冷发电机漏氢有几种表现形式?哪种最危险?
点击查看答案
本题答案:微信扫下方二维码即可打包下载完整带答案解析版《★电气值班员考试》或《电气值班员考试:电气值班员高级技师考试》题库
240、单项选择题 发生接地故障时人体距离接地体越近,跨步电压越高,越远越低,一般情况下距离接地体()m跨步电压视为零。
A.10以内;
B.20以外;
C.30;
D.40。
点击查看答案
本题答案:微信扫下方二维码即可打包下载完整带答案解析版《★电气值班员考试》或《电气值班员考试:电气值班员高级技师考试》题库
241、问答题 变压器油面计指示油位异常升高时怎么办?
点击查看答案
本题答案:微信扫下方二维码即可打包下载完整带答案解析版《★电气值班员考试》或《电气值班员考试:电气值班员高级技师考试》题库
242、判断题 变压器投入运行后,它的励磁电流几乎不变。
点击查看答案
本题答案:微信扫下方二维码即可打包下载完整带答案解析版《★电气值班员考试》或《电气值班员考试:电气值班员高级技师考试》题库
243、单项选择题 电压互感器连接成不完全三角形接线时,它的一次绕组()。
A.不接地;
B.直接接地;
C.经电阻接地;
D.经电感接地。
点击查看答案
本题答案:微信扫下方二维码即可打包下载完整带答案解析版《★电气值班员考试》或《电气值班员考试:电气值班员高级技师考试》题库
244、单项选择题 交流放大器中,放大电路的电压放大倍数K表示的是输出正弦交流电压相量、有效值、瞬时值与输入的正弦交流电压相量、有效值、瞬时值的关系是()。
A.
B.
C.
D.不确定
点击查看答案
本题答案:微信扫下方二维码即可打包下载完整带答案解析版《★电气值班员考试》或《电气值班员考试:电气值班员高级技师考试》题库
245、单项选择题 并联运行变压器,所谓经济还是不经济,是以变压器()来衡量的。
A.运行时间的长短
B.损耗的大小
C.效率的高低
D.投资的多少
点击查看答案
本题答案:微信扫下方二维码即可打包下载完整带答案解析版《★电气值班员考试》或《电气值班员考试:电气值班员高级技师考试》题库
246、判断题 高压少油断路器,一般是采用变压器油作为灭弧介质的。
点击查看答案
本题答案:微信扫下方二维码即可打包下载完整带答案解析版《★电气值班员考试》或《电气值班员考试:电气值班员高级技师考试》题库
247、判断题 电力系统是由发电厂,变、配电装置,电力线路和用户组成。
点击查看答案
本题答案:微信扫下方二维码即可打包下载完整带答案解析版《★电气值班员考试》或《电气值班员考试:电气值班员高级技师考试》题库
248、单项选择题 甲、乙、丙、丁四个带电体,其中甲排斥乙,甲吸引丙,丙排斥丁,如果丁带的负电荷,则乙带的电荷是()。
A.正电荷;
B.负电荷;
C.中性的;
D.无法确定。
点击查看答案
本题答案:微信扫下方二维码即可打包下载完整带答案解析版《★电气值班员考试》或《电气值班员考试:电气值班员高级技师考试》题库
249、单项选择题 在进行高压电力系统短路电流计算时,常采用()表示电气量,计算简单、方便。
A.标幺值;
B.百分值;
C.有名值;
D.瞬时值。
点击查看答案
本题答案:微信扫下方二维码即可打包下载完整带答案解析版《★电气值班员考试》或《电气值班员考试:电气值班员高级技师考试》题库
250、单项选择题 电容器的电容量与加在电容器上的电压关系是()。
A.无关;
B.成正比;
C.成反比;
D.无法确定。
点击查看答案
本题答案:微信扫下方二维码即可打包下载完整带答案解析版《★电气值班员考试》或《电气值班员考试:电气值班员高级技师考试》题库
251、单项选择题 两个电容量为10F的电容器,并联在电压为10V的电路中,现将电容器电压升至20V,则此电容器的电量将()。
A.增大一倍;
B.减小一倍;
C.不变;
D.不一定。
点击查看答案
本题答案:微信扫下方二维码即可打包下载完整带答案解析版《★电气值班员考试》或《电气值班员考试:电气值班员高级技师考试》题库
252、单项选择题
在中性点不接地系统中,正常情况下每相对地电容电流为
,当发生单相金属性接地后,流过接地点的电流为()。
A.

B.1/3
C.3
D.
点击查看答案
本题答案:微信扫下方二维码即可打包下载完整带答案解析版《★电气值班员考试》或《电气值班员考试:电气值班员高级技师考试》题库
253、判断题 常见的操作过电压有切合空载长线、切除空载变压器、切合电容器引起的过电压及弧光接地过电压等。
点击查看答案
本题答案:微信扫下方二维码即可打包下载完整带答案解析版《★电气值班员考试》或《电气值班员考试:电气值班员高级技师考试》题库
254、单项选择题 负序电流在发电机转子表面引起损耗,该损耗的大小与负序电流()成正比。
A.大小;
B.
倍;
C.
倍;
D.平方。
点击查看答案
本题答案:微信扫下方二维码即可打包下载完整带答案解析版《★电气值班员考试》或《电气值班员考试:电气值班员高级技师考试》题库
255、单项选择题 通过某一垂直面积的磁力线叫()。
A.磁场;
B.磁通;
C.磁密;
D.联链。
点击查看答案
本题答案:微信扫下方二维码即可打包下载完整带答案解析版《★电气值班员考试》或《电气值班员考试:电气值班员高级技师考试》题库
256、单项选择题 把其他形式的能量转换成电能的设备叫()。
A.电源;
B.电动势;
C.电流源;
D.电压源。
点击查看答案
本题答案:微信扫下方二维码即可打包下载完整带答案解析版《★电气值班员考试》或《电气值班员考试:电气值班员高级技师考试》题库
257、判断题 电动机绕组依次首尾相连,构成闭合回路,这种连接方式是三角形连接。
点击查看答案
本题答案:微信扫下方二维码即可打包下载完整带答案解析版《★电气值班员考试》或《电气值班员考试:电气值班员高级技师考试》题库
258、判断题 二极管两端的电压与电流的关系称为二极管的伏安特性。
点击查看答案
本题答案:微信扫下方二维码即可打包下载完整带答案解析版《★电气值班员考试》或《电气值班员考试:电气值班员高级技师考试》题库
259、问答题
如图D-35所示电路,已知R=16kΩ,C=0.01μF,试求输入电压U1的频率为多少时才能使输出电压
的相位超前输入电压45°?如果这时输入电压的最大值U1m为1V,则输出电压的最大值U2m是多少?并绘图题:画出相量图。

点击查看答案
本题答案:微信扫下方二维码即可打包下载完整带答案解析版《★电气值班员考试》或《电气值班员考试:电气值班员高级技师考试》题库
260、判断题 在并联电路中,各支路电压的分配与支路电阻的倒数成正比。
点击查看答案
本题答案:微信扫下方二维码即可打包下载完整带答案解析版《★电气值班员考试》或《电气值班员考试:电气值班员高级技师考试》题库
261、问答题 在50μF的电容器上加入f=50Hz,电压为220V的电路中,求该电路的无功功率Q是多少?
点击查看答案
本题答案:微信扫下方二维码即可打包下载完整带答案解析版《★电气值班员考试》或《电气值班员考试:电气值班员高级技师考试》题库
262、判断题 发电机定子单相接地故障的主要危害是电弧烧伤定子铁芯。
点击查看答案
本题答案:微信扫下方二维码即可打包下载完整带答案解析版《★电气值班员考试》或《电气值班员考试:电气值班员高级技师考试》题库
263、判断题 变压器温度计所反映的温度是变压器上部油层的温度。
点击查看答案
本题答案:微信扫下方二维码即可打包下载完整带答案解析版《★电气值班员考试》或《电气值班员考试:电气值班员高级技师考试》题库
264、判断题 交流电气设备铭牌所标的电压和电流值,都是最大值。
点击查看答案
本题答案:微信扫下方二维码即可打包下载完整带答案解析版《★电气值班员考试》或《电气值班员考试:电气值班员高级技师考试》题库
265、问答题 一个线圈的电感L=10mH、电阻略去不计,把它接在u=100sinωt电源上,求当频率f为50Hz和50kHz时,线圈的电抗X1和X2及其中通过的电流I1和I2。
点击查看答案
本题答案:微信扫下方二维码即可打包下载完整带答案解析版《★电气值班员考试》或《电气值班员考试:电气值班员高级技师考试》题库
266、单项选择题 二极管的最大正向电流是保证二极管不损坏的最大允许的半波电流的()值。
A.最大;
B.最小;
C.有效;
D.平均。
点击查看答案
本题答案:微信扫下方二维码即可打包下载完整带答案解析版《★电气值班员考试》或《电气值班员考试:电气值班员高级技师考试》题库
267、多项选择题 查找直流电源接地应注意()。
A、必须由二人进行;
B、禁止使用灯泡法查找;
C、不得造成直流短路或另一点接地;
D、防止直流失电压引起保护自动装置误动。
点击查看答案
本题答案:微信扫下方二维码即可打包下载完整带答案解析版《★电气值班员考试》或《电气值班员考试:电气值班员高级技师考试》题库
268、判断题 磁感应强度又叫磁通密度。
点击查看答案
本题答案:微信扫下方二维码即可打包下载完整带答案解析版《★电气值班员考试》或《电气值班员考试:电气值班员高级技师考试》题库
269、判断题 电容器接到直流回路上,只有充电和放电时,才有电流流过。充电、放电过程一旦结束,电路中就不会再有电流流过。
点击查看答案
本题答案:微信扫下方二维码即可打包下载完整带答案解析版《★电气值班员考试》或《电气值班员考试:电气值班员高级技师考试》题库
270、判断题 在半导体中,靠电子导电的半导体称P型半导体。
点击查看答案
本题答案:微信扫下方二维码即可打包下载完整带答案解析版《★电气值班员考试》或《电气值班员考试:电气值班员高级技师考试》题库
271、问答题 某台调相机的额定容量QN是30000kvar,额定电压UN为10.5kV,功率因数cosΦ=0,求额定电流IN。
点击查看答案
本题答案:微信扫下方二维码即可打包下载完整带答案解析版《★电气值班员考试》或《电气值班员考试:电气值班员高级技师考试》题库
272、判断题 在中性点直接接地的系统中,发生单相接地故障,非故障相对地电压将升高。
点击查看答案
本题答案:微信扫下方二维码即可打包下载完整带答案解析版《★电气值班员考试》或《电气值班员考试:电气值班员高级技师考试》题库
273、判断题 电动机的发热主要是由电流和磁滞损失引起的。
点击查看答案
本题答案:微信扫下方二维码即可打包下载完整带答案解析版《★电气值班员考试》或《电气值班员考试:电气值班员高级技师考试》题库
274、单项选择题 在发电机正常运行时中性点的三次谐波电压()机端三次谐波电压,故定子接地保护中的三次谐波元件不会误动。
A.大于;
B.小于;
C.等于;
D.决定于。
点击查看答案
本题答案:微信扫下方二维码即可打包下载完整带答案解析版《★电气值班员考试》或《电气值班员考试:电气值班员高级技师考试》题库
275、判断题 如变压器的一次侧是高压,二次侧是低压,则称为升压变压器;反之,称为降压变压器。
点击查看答案
本题答案:微信扫下方二维码即可打包下载完整带答案解析版《★电气值班员考试》或《电气值班员考试:电气值班员高级技师考试》题库
276、单项选择题 三个相同阻值的阻抗元件,先以星形接入三相对称交流电源,所消耗的功率与再以三角形接入同一电源所消耗的功率之比等于()。
A.1:1;
B.1:2;
C.1:3;
D.1:4。
点击查看答案
本题答案:微信扫下方二维码即可打包下载完整带答案解析版《★电气值班员考试》或《电气值班员考试:电气值班员高级技师考试》题库
277、判断题 发电机作调相机运行时,励磁电流不得超过额定值。
点击查看答案
本题答案:微信扫下方二维码即可打包下载完整带答案解析版《★电气值班员考试》或《电气值班员考试:电气值班员高级技师考试》题库
278、单项选择题 维持电弧稳定燃烧主要依靠()。
A.碰撞游离;
B.热游离;
C.去游离;
D.强电场发射。
点击查看答案
本题答案:微信扫下方二维码即可打包下载完整带答案解析版《★电气值班员考试》或《电气值班员考试:电气值班员高级技师考试》题库
279、问答题 我国电力系统中中性点接地方式有几种?它们对继电保护的原则要求是什么?
点击查看答案
本题答案:微信扫下方二维码即可打包下载完整带答案解析版《★电气值班员考试》或《电气值班员考试:电气值班员高级技师考试》题库
280、判断题 无论在变压器投入运行的过程中,还是在停用的过程中,均应先接通各侧中性点接地隔离开关。
点击查看答案
本题答案:微信扫下方二维码即可打包下载完整带答案解析版《★电气值班员考试》或《电气值班员考试:电气值班员高级技师考试》题库
281、判断题 在三角形连接的电路中,线电流等于相电流。
点击查看答案
本题答案:微信扫下方二维码即可打包下载完整带答案解析版《★电气值班员考试》或《电气值班员考试:电气值班员高级技师考试》题库
282、判断题 目前,转子两点接地保护多是利用四臂电桥原理构成的。
点击查看答案
本题答案:微信扫下方二维码即可打包下载完整带答案解析版《★电气值班员考试》或《电气值班员考试:电气值班员高级技师考试》题库
283、问答题
某一感性负载接入电压100V,f=50Hz的电路中,供出电流I=10A,cos
=0.85,若采用并联电容的方法,将功率因数提高到1,求需并联多大的电容器?
点击查看答案
本题答案:微信扫下方二维码即可打包下载完整带答案解析版《★电气值班员考试》或《电气值班员考试:电气值班员高级技师考试》题库
284、单项选择题 发电机的非同期振荡与()有关。
A.过负荷;
B.失磁;
C.甩负荷;
D.转子一点接地。
点击查看答案
本题答案:微信扫下方二维码即可打包下载完整带答案解析版《★电气值班员考试》或《电气值班员考试:电气值班员高级技师考试》题库
285、问答题 对变压器检查项目的正常要求有哪些?
点击查看答案
本题答案:微信扫下方二维码即可打包下载完整带答案解析版《★电气值班员考试》或《电气值班员考试:电气值班员高级技师考试》题库
286、单项选择题 如果发电机在运行中频率过高,发电机的转速增加,转子的()明显增大。
A.离心力;
B.损耗;
C.温升;
D.电流。
点击查看答案
本题答案:微信扫下方二维码即可打包下载完整带答案解析版《★电气值班员考试》或《电气值班员考试:电气值班员高级技师考试》题库
287、单项选择题 零序电压的特性是()。
A.接地故障点零序电压最高;
B.变压器中性点接地处零序电压最高;
C.接地电阻大的地方零序电压最高;
D.不变。
点击查看答案
本题答案:微信扫下方二维码即可打包下载完整带答案解析版《★电气值班员考试》或《电气值班员考试:电气值班员高级技师考试》题库
288、判断题 低频、低压减负荷装置出口动作后,应当启动重合闸回路,使线路重合。
点击查看答案
本题答案:微信扫下方二维码即可打包下载完整带答案解析版《★电气值班员考试》或《电气值班员考试:电气值班员高级技师考试》题库
289、判断题 电动机启动时间的长短与频率的高低有直接关系。
点击查看答案
本题答案:微信扫下方二维码即可打包下载完整带答案解析版《★电气值班员考试》或《电气值班员考试:电气值班员高级技师考试》题库
290、问答题
某用户用电的年有功持续负荷曲线如图所示。试求:
(1)全年平均负荷Pav;
(2)全年消耗电量A;
(3)最大负荷利用时间Tmax。

点击查看答案
本题答案:微信扫下方二维码即可打包下载完整带答案解析版《★电气值班员考试》或《电气值班员考试:电气值班员高级技师考试》题库
291、判断题 在雷雨时,电气运行值班人员可以允许在露天配电设备附近工作。
点击查看答案
本题答案:微信扫下方二维码即可打包下载完整带答案解析版《★电气值班员考试》或《电气值班员考试:电气值班员高级技师考试》题库
292、问答题 220kV双母线接线各母线装设单独母线差动保护时,母线固定连接方式破坏后为什么要停用两条母线的差动保护?
点击查看答案
本题答案:微信扫下方二维码即可打包下载完整带答案解析版《★电气值班员考试》或《电气值班员考试:电气值班员高级技师考试》题库
293、单项选择题 直流电机主极与转子空气隙最小值或最大值与平均值之间误差规定不大于()。
A.5%;
B.10%;
C.15%;
D.20%。
点击查看答案
本题答案:微信扫下方二维码即可打包下载完整带答案解析版《★电气值班员考试》或《电气值班员考试:电气值班员高级技师考试》题库
294、判断题 变压器是一种传递电能的设备。
点击查看答案
本题答案:微信扫下方二维码即可打包下载完整带答案解析版《★电气值班员考试》或《电气值班员考试:电气值班员高级技师考试》题库
295、单项选择题 风吹自冷式电力变压器,最高允许温度不得超过()℃。
A.80;
B.95;
C.100;
D.85。
点击查看答案
本题答案:微信扫下方二维码即可打包下载完整带答案解析版《★电气值班员考试》或《电气值班员考试:电气值班员高级技师考试》题库
296、判断题 在三角形连接的电路中,线电流等于相电流。
点击查看答案
本题答案:微信扫下方二维码即可打包下载完整带答案解析版《★电气值班员考试》或《电气值班员考试:电气值班员高级技师考试》题库
297、判断题 距离保护的测量阻抗值不随运行方式而变。
点击查看答案
本题答案:微信扫下方二维码即可打包下载完整带答案解析版《★电气值班员考试》或《电气值班员考试:电气值班员高级技师考试》题库
298、问答题 如图所示,已知串联电阻R1=10Ω,R2=5Ω,R3=20Ω,电流I=5A,试求串联电路的总电压UΣ是多少?
点击查看答案
本题答案:微信扫下方二维码即可打包下载完整带答案解析版《★电气值班员考试》或《电气值班员考试:电气值班员高级技师考试》题库
299、单项选择题 强励装置在发生事故的情况下,可靠动作可以提高()保护动作的可靠性。
A.带延时的过流;
B.差动;
C.匝间短路;
D.电流速断。
点击查看答案
本题答案:微信扫下方二维码即可打包下载完整带答案解析版《★电气值班员考试》或《电气值班员考试:电气值班员高级技师考试》题库
300、问答题 直流电动机启动时,由于内阻很小而反电压尚未建立,启动电流很大,为此常用一个启动变阻器串入启动回路,如果电动机内阻Ri=1Ω,工作电流为12.35A,现接在220V电源上,限制启动电流不超过正常工作电流的两倍,试求串入启动回路的电阻R值是多少?
点击查看答案
本题答案:微信扫下方二维码即可打包下载完整带答案解析版《★电气值班员考试》或《电气值班员考试:电气值班员高级技师考试》题库
题库试看结束后
微信扫下方二维码即可打包下载完整版《★电气值班员考试》题库
手机用户可保存上方二维码到手机中,在微信扫一扫中右上角选择“从相册选取二维码”即可。
题库试看结束后微信扫下方二维码即可打包下载完整版《电气值班员考试:电气值班员高级技师考试》题库,分栏、分答案解析排版、小字体方便打印背记!经广大会员朋友实战检验,此方法考试通过率大大提高!绝对是您考试过关的不二利器!
手机用户可保存上方二维码到手机中,在微信扫一扫中右上角选择“从相册选取二维码”即可。
微信搜索关注"91考试网"公众号,领30元,获取公务员事业编教师考试资料40G