时间:2019-11-24 22:30:25


1、填空题 污水水质的复杂程度的确定是根据污染物的()和需预测某类污染物浓度的()两个指标。
2、问答题 生态环境保护需遵循的基本原理?
3、填空题 我国环境标准可分为()。
4、填空题 环境影响评价的三个工作等级中,()级评价是最详细的,()级次之,()级较简略。
5、多项选择题 下列有关环境价值评估及其方法的叙述,正确的有()。
A.除最大支付意愿(WTP)度量法外,环境价值还可根据人们对某种特定的环境退化而表示的最低补偿意愿(WTA.)来度量B.第Ⅱ组环境价值评估方法都是基于费用或价格的,它们虽然不等于价值,但据此得到的评价结果,通常可作为环境影响价值的低限值
C.第Ⅲ组环境价值评估方法一般在数据不足时采用,有助于项目决策
D.实际应用中三组环境价值评估方法的选择优先顺序为m>H>Ⅰ
6、单项选择题 “夜间”在《中华人民共和国环境噪声防治法》中的确切时间是()。
A、零点到早晨八点之间
B、晚二十二点到凌晨六点
C、晚二十三点到凌晨七点
D、晚九点到凌晨五点
7、填空题 产污系数指在正常的技术经济和管理条件下,生产单位铲平和产生污染活动的单位强度所产生的()。
8、多项选择题 产污环节分析中,必须要在工艺流程中表明的是()。
A、污染物的产生位置
B、污染物的类型
C、主要化学反应式
D、主要副反应式
9、多项选择题 根据调节池的功能,可将其分为()。
A.均量池
B.均质池
C.均化池
D.事故池
10、填空题 环境影响报告书格式应该由什么单位来制定()
11、单项选择题 收集资料法的缺点是()
A.应用范围广、收效大
B.受到季节、仪器设备条件的限制;
C.费用较大
D.只能获得第二手资料
12、单项选择题 河流水质采样,下列不属于垂线上取样点确定原则的是()。
A.在一条垂线上,水深大于5m,在水面下0.5m处及距河底0.5m处,各取样一个
B.水深为1~5m,只在水面下0。5m处取一个样
C.水深不足lm时,取样点距水面不应小于0.5m
D.评价三级小河时,不论河水深浅,只在一条垂线上一个点取一个样
13、多项选择题 下面列举的环境所具有各种价值中,属于环境的间接使用价值的是()。
A.独特景观
B.涵养水源
C.防风固沙
D.平衡碳氧
14、多项选择题 垃圾填埋场污染防治措施的主要内容有()。
A.渗滤液的治理和控制措施以及填埋场衬里破裂补救措施
B.释放气的导排或综合利用措施以及防臭措施
C.减振防噪措施
D.评价垃圾运输、场地施工、垃圾填埋操作、封场各阶段由各种机械产生的振动和噪声对环境的影响
15、名词解释 区域环境承载力
16、单项选择题 不属于累积影响类型的选项是()。
A.环境承载力影响
B.最低限度及饱和限度影响
C.诱发影响和间接影响
D.时间和空间的拥挤影响
17、填空题 需要环评的规划种类:()()。
18、多项选择题 生物自净过程主要影响因素有()。
A.溶解氧
B.有机污染物的性质、浓度
C.温度
D.微生物的种类、数量。
19、单项选择题 下列关于常用三组环境价值评估方法的叙述,上确的是()。
A.第I组方法已广泛应用于对非市场物品的价值评估
B.第Ⅱ组方法包含有医疗费用法、人力资本法、机会成本法等六种方法
C.第Ⅲ组方法包含有反向评估法和影子工程法
D.第Ⅱ组方法理论评估出的是以支付意愿衡量的环境价值
20、单项选择题
环境承载力分析方法及步骤:
①针对多个小区或同一区域的多个发展方案对指标进行归一化;
②确定每一指标的具体数值;
③建立环境承载力指标体系;
④根据承载力大小来对区域生产活动进行布局或选择环境承载力最大的发展方案作为优选方案;:
③第j个小区的环境承载力大小用归一化后的矢量的模来表示:
正确的顺序是()
A.①②③④⑤
B.③②①⑤④
C.①③②④⑤
D.③①②⑤④
21、填空题 垃圾填埋场大气主要污染物()()()()()渗滤液主要污染物()()()以及大肠菌值
22、多项选择题 下列属于固体废弃物污染的是()。
A、恶臭、致病
B、景观影响
C、放射性危害
D、有毒有害物的迁移扩散
23、问答题 简述我国环境影响评价存在的问题。
24、多项选择题 一般认为,环境的总价值包括环境的()。
A.使用价值
B.选择价值
C.存在价值
D.非使用价值
25、多项选择题 固体废物的特点有()。
A.数量巨大、种类繁多、成分复杂
B.资源和废物的相对性
C.危害具有潜在性、长期性和灾难性
D.处理过程的终态、污染环境的源头
26、单项选择题 工程分析中一般将没有气筒或者排气筒低于()m的排放源定为无组织排放。
A.10
B.5
C.15
D.20
27、名词解释 环境评价
28、名词解释 生态影响预测
29、单项选择题
生态制图编制的步骤:
①图件编辑和配准;
②图件提取;
③图件的录人;
④图件输出;
⑤空间分析。
正确的顺序是()。
A.①②③④⑤
B.③①②⑤④
C.①③④②⑤
D.③①②④⑤
30、单项选择题 《生活垃圾填埋污染控制标准》(GBl6889-1997)适用于()。
A、生活垃圾填埋处置场所
B、工业固体废物填埋处置场所
C、危险废物填埋处置场所
D、放射性固体废物填埋处置场所
31、多项选择题 大气污染源调查中,污染因子筛选的主要原则有()。
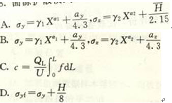
A.选择该项目等标排放量较大的污染物为主要污染因子
B.选择特征污染物
C.考虑在评价因内已造成严重污染的污染物
D.污染因子数一般不宜过多,对排放大气污染物较多的企业可适当增加
32、单项选择题 声源1和2在M点产生的声压级分别为Lp1=100dB,Lp2=98dB,则M点的总声压级Lp1+p2为()dB。
A、198
B、102
C、104
D、195
33、多项选择题 评价水体富营养化的方法包括()。
A.评分法
B.营养物质负荷法
C.输出系数法
D.营养状况指数法
34、填空题 若某区域土壤中某成分的富集系数(EF)大于(),则说明土壤受到该成分的污染,该区域不能成为背景值区域。
35、多项选择题 固体废弃物的主要处置方法有()。
A、围隔堆存
B、生物降解
C、向他国转移
D、填埋焚烧
36、问答题 环境容量定义
37、填空题 污染物排放总量的调查方法:()()()。
38、问答题 地表水环境预测点怎样确定?
39、单项选择题 下列计算方法,公式错误的是()。
A.相对密度=一个种的密/所有种的密度×100%
B.相对优势度=一个种优势度/所有种优势度×100%
C.相对频度=一个种的频度/所有种的频度×100%
D.重要值=相对密度-相对优势度一相对频度
40、多项选择题 熏烟现象一般出现在()等情况下。
A、日出前后
B、日落前后
C、海岸线附近
D、山谷间
41、单项选择题 大气环境影响评价中要求评价内容最详细的是()。
A、三级评价
B、二级评价
C、一级评价
D、四级评价
42、多项选择题 大气污染调查中点源统计的内容包括()。
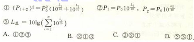
A.排气筒底部中心坐标和海拔高度以及位置图
B.排气筒几何高度及出口内径
C.排气筒出口烟气温度
D.毒性较大物质的非正常排放量
43、填空题 环境标准的分类:()()
44、多项选择题 《环境影响评价技术导则——大气环境》推荐的两种确定大气混合层高度的方法是()。
A.干绝热法
B.计算法
C.风向标准差法
D.温差法
45、多项选择题 燃煤锅炉作为污染源分析的过程中,通常设定的污染因子为().
A.氨氮
B.烟气
C.二氧化硫
D.二氧化碳
46、多项选择题 以下属于环境影响评价的四种基本功能的是()
A.预测功能
B.选择功能
C.导向功能
D.判断功能
47、填空题 从机制方面可将水体自净分为()()()三类,它们是同时发生而又相互影响的。
48、单项选择题 在区域或流域的污染源调查中,说法确切的是()。
A、必须进行污染物流失原因分析
B、一般分为普查和详查两个阶段
C、通常要研究污染物的物理、化学特性
D、一般要对主要污染物进行追踪分析
49、多项选择题 应用景观生态学方法分析时,需要回答的问题是()。
A.生态系统是否毁灭或是否严重恶化
B.生态系统是否可正向演替或自然恢复
C.生态系统的恢复稳定性是否增加
D.生态系统的阻抗稳定性是否增加
50、填空题 水环境现状调查的对象主要为(),()和()。
51、问答题 影响大气预测准确度的因素有哪些?
52、问答题 简述大气环境影响评价中点源调查的主要内容。
53、多项选择题 卫生防护距离的级差规定中,正确的是()。
A.卫生防护距离在100m以内,级差为50m。
B.卫生防护距离超过100m,但小于1000m时,级差为100m
C.卫生防护距离超过1000m,级差为200m
D.卫生防护距离超过100m,但小于1000m时,级差为75m
54、多项选择题 环境噪声现状调查方法有()
A.收集资料法
B.已现场调查法
C.遥感法
D.收集资料法和现场调查法相结合
55、填空题 确定地表评价工作等级的四个因素分别是、()、废水中污染物迁移转化和衰减化的特点、受纳水体规模和类别。
56、填空题 按影响的效果分,环境影响可分为()。
57、填空题 按建设项目各阶段所造成的环境影响分,可分为()。
58、问答题 环境质量识别的主要内容?
59、填空题 污染物排放标准按其适用范围可分为()排放标准和行业污染物排放标准。
60、填空题 环境影响分类按影响程度分类为()、不可恢复影响。
61、多项选择题 地理信息系统常用功能包括()。
A.空间数据的录人
B.缓冲区分析
C.栅格图层的叠加
D.空间数据的更新显示
62、问答题 简述理想的环境影响评价应满足的条件。
63、填空题 沈阳大气质量指数(AQI)评价模式为()。
64、问答题 中国环境影响评价(EIA)制度的特点是什么?
65、填空题 人类活动影响生态环境的减缓措施有()。
66、多项选择题 污染物排放量确定的方法一般包括()。
A、物料算衡法
B、经验计算法
C、实测法
D、能量守恒法
67、单项选择题 下列关于常用三组环境价值评估方法的叙述,正确的是()。
A.第I组方法已广泛应用于对非市场物品的价值评估
B.第Ⅱ组方法包含有医疗费用法、人力资本法、机会成本法等六种方法
C.第Ⅲ组方法包含有反向评估法和影子工程法
D.第Ⅱ组方法理论评估出的是以支付意愿衡量的环境价值
68、问答题 简述防治土壤污染的措施。
69、填空题 污染物调查中核实污染物的排放量一般有三种方法,分别为()、()、实测法。
70、名词解释 筛选
71、单项选择题 关于颗粒物沉降参数,错误的是()。
A.颗粒物粒径<15µm,可以不考虑沉降作用,使用气态污染物模式
B.颗粒物粒径>15µm,需要考虑沉降作用,使用颗粒物模式
C.颗粒物粒径>50µm,认为此种颗粒物很快沉降,不参与传输和扩散,在模式中不考虑该种颗粒物
D.颗粒物粒径>100µm,认为此种颗粒物很快沉降,不参与传输和扩散,在模式中不考虑该种颗粒物
72、问答题 运行中的垃圾填埋场的主要环境影响是什么?
73、单项选择题
建设项目景观影响评价程序:
①对评价重点进行景观阂值评价、美学评价、资源性评价;
②确定视点;
③进行敏感性识别;
④景观保护措施研究和美学效果与技术经济评价;
⑤景观美学影响评价。
正确的顺序是()。
A.①②③④⑤
B.②③①⑤④
C.①③④②⑤
D.③①②④⑤
74、名词解释 湍流扩散
75、多项选择题 水环境现状调查和检测过程中.确定调查范围的原则()
A.在确定某具体建设开发项目地表水环境现状调查范围时,尽量按照将来污染物排放进人天然水体后可能达到水域使用功能质量标准要求的范围,并考虑评价等级的高低后决定
B.当下游附近有敏感区(水源地、自然保护区)时,调查范围应考虑延长到敏感区上游边界,以满足预测敏感区所受影响的需要
C.当下游附近有敏感区(水源地、自然保护区)时,调查范围应考虑延长到敏感区下游边界,以满足预测敏感区所受影响的需要
D.当下游附近有敏感区(水源地、自然保护区)时,调查范围不用做任何改变
76、多项选择题 固体废物对环境的影响包括()。
A.对大气环境的影响
B.对水环境的影响
C.对上壤环境的影响
D.对景观的影响
77、多项选择题 进行建设项目环境保护验收时,验收重点有()。
A.核查建设项目的人员配置情况
B.核查验收工况、监测(调查)结果、环境管理
C.风险事故环境保护应急措施检查
D.现场验收检查及验收结论
78、名词解释 环境影响后评价
79、填空题 最佳测定范围也称有效测定范围,指在限定误差能满足预定要求的前提下,特定方法的()至()之间的浓度范围。
80、多项选择题 根据《环境影响评价技术导则—生态影响》(HJ19-2011),生态一级评价项目才要求的基本图件是()
A、地表水系图
B、植被类型图
C、生态监测布点图
D、典型生态保护措施平面布置示意图
81、多项选择题 下列属于自然环境调查的基本内容的是()
A.地理位置
B.地形地貌
C.气候与气象
D.地表水环境
82、单项选择题 对于区域环评,大气环境现状监测点布设正确的是()。
A.主导风向较明显时,在评价区域的主导风下风向范围内设置的点位可多一些
B.主导风向较明显时,在评价区域的主导风上风向范围内设置的点位可多一些
C.工业较集中的城区、工矿区和交通频繁区、人口稠密区、污染物超标区监测点的数目可少设一些
D.监测点位可不用包括评价范围内的环境敏感区和关心点
83、单项选择题 《地下水环境质量标准》(GB/T14848-93)适用于()
A、地下热水
B、矿水
C、盐卤水
D、一般地下水
84、多项选择题 在污染源调查的准备阶段,要做到的基本准备有()。
A、明确调查目的
B、制定调查计划
C、做好调查准备
D、搞好调查试点
85、单项选择题 在生态影响评价过程中,对于2级评价项目,以重要评价因子受影响的方向为扩展距离不应小于()km。
A、2~8
B、30~40
C、8~30
D、1~2
86、单项选择题 在水质预测中使用的时间尺度,按逐渐增加水质模型复杂性的顺序为()
A.稳态、准稳态、动态
B.动态、稳态、准稳态、
C.动态、准稳态、稳态
D.稳态、动态、准稳态
87、名词解释 环境敏感区
88、单项选择题 下列定义中错误的是()。
A.生态环境影响定义:生态系统受到外来作用时所发生的响应与变化
B.生态环境影响预测:科学地分析与预估生态受到外来作用时所发生的响应与变化的趋势
C.生态环境影响评价:对影响预测的结果进行显著性分析、人为地判别可否接受的过程
D.生态环境影响评价:对现状影响的结果进行显著性分析、人为地判别可否接受的过程
89、单项选择题
用于计算生活垃圾产生量的公式是()

A.A
B.B
C.C
D.D
90、填空题 污染物在流体中的迁移扩散有两种形式()和()。
91、填空题 ()指污染源可能对环境产生的最大污染效应,主要取决于排放污染物的种类、性质和排放方式等。
92、多项选择题 在核算污染物排放量的基础上,提出的工程污染物排放总量控制建议指标必须满足()
A.达标排放
B.符合其他相关环保要求
C.技术上可行
D.能保证有力地执行
93、单项选择题 该电厂烟尘排放量是()千克。
A、240
B、24000000
C、2400
D、24000
94、单项选择题
线声源随传播距离增加引起的衰减量公式为()。

A.A
B.B
C.C
D.D
95、单项选择题 在环境影响评价实践中,最常用的环境价值评估方法是()。
A.生产力损失法
B.反响评估法
C.调查评价法
D.成果参照法
96、填空题 环境基本特征()。
97、多项选择题 按照拟建项目的活动对环境要素的作用属性,环境影响可以划分为:()
A.有利影响,不利影响
B.直接影响,间接影响
C.短期影响,长期影响
D.可逆影响,不可逆影响
98、单项选择题 定性的分析大气稳定度,下列说法不正确的是()。
A.夜间大气稳定度一般为中性、较稳定或稳定类
B.阴天或者大风时,大气稳定度一般为强不稳定
C.强不稳定类一般出现在白天、晴天和风速小于2m/s的情况下
D.稳定类一般出现在夜间、晴天和风速小于3m/s的情况下
99、填空题 环境影响分类按来源分类为()。
100、多项选择题 利用A-P法估算环境容量需要掌握的资料有()。
A.开发区范围和面积
B.区域环境条件
C.第i个功能区的面积Si;
D.第j个功能区污染物控制浓度(标准浓度限值)Ci
101、多项选择题 计算植被中物种重要值的步骤包括()。
A.相对密度计算
B.相对优势度计算
C.相对频度计算
D.重要值计算
102、填空题 S-P表示的是什么的关系:()。
103、单项选择题 对于处在GB3096-93规定的1类标准的地区的某中型扩建项目,该项目应按()级评价进行工作。
A、一级
B、二级
C、三级
D、四级
104、多项选择题 环境影响识别方法包括()
A.清单法
B.矩阵法
C.叠图法
D.影响网络法
105、填空题 大气总量控制因子:()()()。
106、多项选择题 划入“轻度影响”的项目的特征有()
A.污染因素单一、而且污染物种类少、产生量小或毒性较低的建设项目
B.对地形、地貌、水义、土壤、生物多样性等有一定的影响,但不改变生物系统结构和功能的建设项目
C.基本不对环境敏感区造成影响的小型建设项目
D.所有流域开发、开发区建设、城市新区建设和旧区改建等区域性开发活动或建设项目
107、填空题 地表水的预测分为()、平水期、()三个时期。一般而言,枯水期自净能力最小,三级评价要求预测()时期的环境影响。
108、单项选择题 在固体废物监测分析过程中,实验室样品分析时应加测不少于()的平行样。
A.5%
B.10%
C.15%
D.20%
109、多项选择题 垃圾填埋场主要污染源有()。
A.渗滤液
B.填埋场释放气体
C.恶臭气体
D.蚊蝇等害虫
110、单项选择题 一般三级处理能够去除()的BOD、磷、悬浮固体和细菌。
A.90%
B.95%
C.98%
D.99%
111、问答题 计算题:计算如下几个噪声之和:52dB,61dB,58dB,55dB,52dB,64dB,57dB。
112、填空题 为了解大气污染方向及各方位受污染几率,在极坐标中按16个风向标出其频率的大小,应绘制订()。
113、多项选择题 按污染源的几何形状,大气污染源可分为()。
A.点源
B.面源
C.线源
D.体源
114、多项选择题 植物的样方调查步骤包括()。
A.确定样地大小:一般草本的样地在lm2以上;灌木林样地在10rn2以卜;乔木林样地在100m2以上
B.确定样地数目:用种与面积和关系曲线确定样地数目
C.样地排列:系统排列或随机排列两种方式
D.收集现有资料加以分析
115、问答题 环境影响评价的概念是什么?
116、多项选择题 作为我国《环境保护法》保护对象的环境要素包括()
A、海洋
B、自然遗迹
C、矿藏
D、大气
117、多项选择题 按照对建设项目所排放污水中拟预测的污染物类型及某类污染物中水质参数的多少,建设项目所排放污水水质的复杂程度可划分为()。
A、复杂
B、一般
C、中等
D、简单
118、问答题 水环境质量现状评价评价因子的类别有哪些?
119、名词解释 环境影响报告书
120、多项选择题 城市固体废物包括()。
A.生活垃圾
B.城建渣土
C.商业固体废物
D.粪便
121、问答题 简述环境空气质量功能区分类。
122、名词解释 环境噪声污染
123、多项选择题 类比法中分析对象与类比对象之间的相似性是指()。
A、工程一般特征的相似性
B、环境特征的相似性
C、生产管理及政策的相似性
D、污染物排放特征的相似性
124、多项选择题 以下各项中可选取为清洁生产指标的是()
A、设备热利用效率
B、吨产品COD最终排放量
C、循环冷却水循环率
D、粉尘无组织排放占总排放百分比
125、多项选择题 河川径流主要变化有()
A.年际变化
B.年内变化
C.地区变化
D.周期变化
126、问答题 累积环境影响评价的内容?
127、填空题 学校教学区环境噪声应执行()类标准。
128、多项选择题 水环境预测方法分类包括()。
A.数学模式法
B.物理模型法
C.类比分析法
D.资料调研法
129、单项选择题 对于二级评价项目,对其所在地区气象资料的调查期间,至少应为最近()年。
A、1
B、2
C、3
130、单项选择题 关于水环境现状调查和监测,下列说法不正确的是()。
A.目的:掌握评价范围内水体污染源、水文、水质和水体功能利用等方面的环境背景情况,为地表水环境现状和预测评价提供基础资料
B.工作范围:包括资料收集、现场调查以及必要的环境监测
C.调查范围:包括受建设项目影响较显著的地表水区域
D.现状调查包括的两方面为:资料收集和现场调查(现场测量)
131、名词解释 污染源评价
132、名词解释 视觉影响评价
133、多项选择题 地理信息系统的数据结构种类包括()
A.矢量结构
B.栅格结构
C.层次结构
D.并行结构
134、多项选择题 关于非点源调查,下列正确的是()。
A.调查内容:工业类非点源污染源、其他非点源污染源
B.调查原则:一般采用实测的方法,不进行资料收集
C.污染源采样分析方法:按《污水综合排放标准》(GB.8978~1996)规定执行
D.污染源资料的分析整理:对收集到的和实测的污染源资料进行检查,找出相互矛盾和错误之处
135、填空题 《中华人民共和国环境保护法》的颁布时间:()
136、多项选择题 大气环境影响评价的基本任务是()。
A、从保护环境的目的出发
B、通过调查、预测等手段,分析判断建设项目在其建设服务过程中对环境的影响
C、为建设项目的厂址的选择、污染源设置、制定大气污染防治措施以及其他有关的工程设计提供科学依据或指导性的建议
D、防止水圈生态系统在与大气的接触中被污染
137、单项选择题 下列关于大气环境影响预测步骤的工作内容,正确的是()。
A.确定预测范围和计算点:根据评价范围确定预测因子,同时考虑污染源的排放高度、评价范围的主导风向、地形和周围环境敏感区的位置
B.确定污染源计算清单:根据污染源的几何形状和污染物存在形态、气象条件、地形条件选择相应的模式
C.确定相关的计算参数:考虑四个方面内容:污染源类别、预测因子、气象条件、计算受体。根据污染源类别和不同排放方案,设计各种模拟情景
D.选择预测模式:按两种类型进行污染源统计,一种是按几何形状分为点源、线源、体源和面源。另一种是按污染物存在形态分为颗粒物污染物和气态污染物
138、单项选择题 如果监测数据样本量较小,而数据值变化幅度较大,则水质参数选取()
A.监测数据的平均值
B.监测数据的最大值
C.平均值与最大值的均方根
D.平均值与最大值的立方根
139、多项选择题 现代废水处理技术中,下列方法属于物理法的有()。
A.格栅隔油
B.澄清
C.活性污泥法
D.焚烧
140、多项选择题 定性的分析大气稳定度,下列说法正确的是()。
A.夜间大气稳定度一般为中性、较稳定或稳定类
B.阴天或者大风时,大气稳定度一般为中性稳定度
C.强不稳定类一般出现在白天、晴天和风速小于2m/s的情况下
D.稳定类一般出现在夜间、晴天和风速小于3m/s的情况下
141、填空题 环境科学中环境的定义可以用()来概括。
142、单项选择题 无组织排水是针对有组织排放而言的,主要针对()
A.废气
B.废水
C.废渣
D.粉尘
143、单项选择题 我国现行的《城市区域环境噪声标准》(GB3096-93)规定了城市五类区域的环境噪声最高限值,其中以居住、文教机关为主的区域应采用的标准是()。
A、0类标准
B、1类标准
C、2类标准
D、3类标准
E、4类标准
144、多项选择题 生态环境敏感性目标定义包括()。
A.法定的敏感性目标
B.科学评价认定的敏感性目标
C.社会的敏感性目标
D.局部地域的敏感性目标
145、填空题 ()是对生产过程中所使用的物料情况进行定量分析的一种科学方法。在生产过程中,投入某系统的物料质量不许等 于该系统产出物质的质量。
146、单项选择题 下列哪种固体废弃物不适合一般堆存()。
A、溶解度极低的块状或颗粒状废物
B、化学反应性强的块状或颗粒状废物
C、不散发恶臭或毒气的块状或颗粒状废物
D、不飞扬、不腐烂变质块状或颗粒状废物
147、填空题 大气越不稳定烟囱大气污染物的最大落地浓度()其落地距离的变化()。
148、多项选择题 测定生产力的方法包括()
A.皆伐实测法
B.平均木法
C.将研究地段的林木按其大小分级,在各级内再取平均木,再换成单位面积的于重
D.随机抽样法
149、问答题 环境影响评价制度的实施,对我国的社会发展可以发挥哪些作用?
150、多项选择题 大气污染调查中面源统计的参数包括()。
A.烟气出口速度
B.主要污染物排放量
C.面源有效排放高度、网格面源或单个面源的平均海拔高度
D.网格面源分类
151、多项选择题 湖泊、水库水质取样,取样位置上取样点的布设原则有()
A.大中型湖泊、水库,当平均水深小于10m时,设在水面下0.5m处,但此点距底不应超过0.5rn
B.大中型湖泊、水库,平均水深大于10m时,先查明其水温有无分层现象,如有斜温层,在水面下0.5m和斜温层以下,距底0.5m以上处各取一个水样
C.小型湖泊、水库,当平均水深大于10m时,在水面下0.5m和水深10m并距底0.5m以上处各设一个取样点
D.小型湖泊、水库,水深小于10m时,在水面下和距底0.5m以上处各设一+取样点
152、多项选择题 一般来说,建设项目的工程分析,都应根据()等技术资料进行工作。
A.环境影响评价送审材料
B.项目规划
C.可行性研究报告
D.设计方案
153、多项选择题 常用的扩散模式中需要的气象参数包括()。
A.风速、风向
B.环境温度
C.稳定度
D.混合层高度
154、多项选择题 水土流失治理措施主要有工程治理措施和生物治理措施,下列属于工程治理措施的有()。
A.拦渣坝
B.防洪堤
C.尾矿坝
D.人工再植被
155、多项选择题 环境噪声现状评价原则包括()
A.噪声源现状评价:评价在评价范围内现有噪声源种类、数量及相应的噪声级、噪声特性、进行主要噪声源分析等
B.环境噪声现状评价:评价在评价范围内的环境噪声现状、主要噪声源分析及受噪声影响的人口分布
C.环境噪声现状评价结果应用表格和图示来表达
D.需要绘制现状WEC.PNL的等声级线图
156、单项选择题
环境质量预测与评价基本步骤正确的顺序是()。
①分析各类污染源在网格点上的日均浓度场和年均浓度场;
②分析各类污染源对关心点或敏感区的小时浓度、日均浓度和年均浓度;
③分析新增污染源最大落地浓度出现的位置和发生的概率,环境卜是否可以接受;
④和现状监测值进行叠加分析,即新增污染源预测值+现状监测值一削减污染源计算值一被取代污染源计算值一项目建成后最终的环境影响;
⑤对解决方案进行进一步预测和评价,给出最终的推荐方案和建设项目或规划项目可行性等结论;
⑥对项目建成后最终的环境影响进行评价,比较各种排放方案的优劣,并对存在的问题提出解决方案。
A.①②③④⑤⑥
B.③②①④⑥⑤
C.①④②⑤③⑥
D.③②①④⑤⑥
157、填空题 凡对水环境质量造成有害影响的()和()的来源,统称水污染源。
158、多项选择题 区域环境承载力的主要研究对象是()
A.区域环境系统的微观结构、特征和功能
B.区域地理地形、资源种类、人口密度
C.区域商贸、文化外来人口的分布
D.区域社会经济活动的方向、规模
159、名词解释 专家评价法
160、多项选择题 根据海湾的形状、湾口的大小和深浅以及通过湾口与外海的水交换能力可以把海湾分为()
A.深水湾和浅水
B.开放型和半开放型
C.开敞型
D.闭塞型
161、多项选择题 起搏标测的制约因素()
A.电流强度
B.阳极夺获
C.起搏周长和室性心动过速自身周长差异过大(>80ms)
D.大面积夺获或部分夺获
E.患者性别
162、多项选择题 按污染物存在形态分,可以分为()
A.固体污染物
B.气态污染物
C.颗粒态污染物
D.污染源的占地面积
163、多项选择题 点源源强计算清单中包含的内容包括()
A.污染源排放的位置
B.排放方式
C.污染源源强
D.液态污染物
164、填空题 土壤环境质量评价的因子可分为()大类。
165、填空题 声压级相同的声音,高频声音听起来比低频声音()一些。
166、多项选择题 地下水污染治理技术有()
A.物理法
B.水动力控制法
C.抽出处理法
D.原位处理法
167、单项选择题 下列属于自然环境调查内容的是()
A.人群健康状况
B.文物与景观
C.社会经济
D.地下水环境
168、多项选择题 水生生态调查内容包括()
A.初级生产量
B.浮游生物
C.底栖生物
D.有时还有水生植物调查
169、多项选择题 关于下列概念,说法正确的是()。
A.风频指某风向占总观测统计次数的百分比
B.风向玫瑰图是统计所收集的多年地面气象资料中16个风向出现的频率
C.风速是指空气在单位时间内移动的垂直距离
D.风场是指局地大气运动的流场
170、填空题 水源保护区、风景名胜区等是需要特殊保护的()。
171、填空题 水利工程建设项目对土壤的环境影响有占用土地资源诱发土壤—地质环境的灾害、()。
172、问答题 环境影响评价的工作程序及其主要内容包括那些?
173、填空题 环境质量评价指数主要包括()平均综合指数和()综合指数。
174、单项选择题
小风和静风点源扩散模式中,以排气筒地面位置为原点,下风向地面任一点的浓度的计算公式为()

A.A
B.B
C.C
D.D
175、填空题 A声级对于()和()也能确切的反映噪声的状况。
176、问答题 环境噪声现状评价的主要内容有哪些?
177、单项选择题 下列说法不正确的是()。
A.海湾是海洋凸入陆地的那部分水域
B.根据海湾的形状、湾口的大小和深浅以及通过湾口与外海的水交换能力可以把海湾分为闭塞型和开敞型两类
C.闭塞型海湾是指湾口的宽度和水深相对浅窄,水交换和水更新的能力差的海湾
D.湾口开阔、水深,形状呈喇叭形的海湾属于闭塞型两类
178、多项选择题 下面关于取样断面取样垂线的确定,()是正确的说法。
A、小河在取样断面的主流线上设一条取样垂线
B、对于大河中河,在取样断面上各距岸边三分之一水面宽处,设一条取样垂线
C、大河和中河根据河宽的不同,取样垂线的条数不同
D、特大河由于河流过宽,取样垂线数适当增加
179、名词解释 环境影响识别
180、填空题 环境质量监测系统中的各种监测指标和参数具有()和()两大特点。
181、问答题
噪声叠加和衰减计算
锅炉房2m处测为80dB,距居民楼16m;冷却塔5m处测为80dB,距居民楼20m,求二设备噪声对居民楼共同影响。
182、单项选择题 在河流中,影响污染物输移的最主要的物理过程是()。
A.对流
B.横向扩散
C.纵向扩散
D.以上三者
183、单项选择题 下列关于筛选预测水质参数的说法不正确定的有()。
A、根据对建设项目的初步分析,可知此项目排入水体的污染源与污染物情况
B、结合水环境影响评价的级别,工程与水环境两者的特点,即可从将要排入水体的污染物中筛选水质参数
C、筛选的数目尽可能多
D、筛选的数目既要说明问题又不过多,使所选水质参数的影响预测能力基本反映建设项目的地面水环境影响
184、多项选择题 关于大气环境质量现状监测,下列正确的是()。
A.应本着以环境功能区为主兼顾均匀分布性的原则
B.三级评价项目,如果评价区内已有例行监测点,可不再安排监测;如没有,可安排1~3个监测点
C.一级评价项目,监测点的数目不应少于10个
D.二级评价项目,监测点的数目不应少于6个。
185、问答题 分析影响水环境介质中污染物浓度的因素。
186、填空题 《城市区域环境噪声标准》中规定交通干线道路两侧昼间的等效连续声级超过()即为恶化。
187、单项选择题 环境影响识别的任务是()。
A.区分、筛选出显著的、可能影响项目决策和管理的、需要进一步评价的主要环境影响(或问题)
B.预测不利的环境影响,采取各种减缓措施
C.系统地检查各种“活动”与环境要素之间的关系
D.根据拟建项目的特征和拟选厂址周围的环境状况预测环境变化
188、名词解释 源强
189、多项选择题 大气环境影响预测前提包括()。
A.掌握评价区域内的污染源源强
B.掌握评价区域内的污染源排放方式
C.掌握评价区域内的污染源布局
D.掌握评价区域内大气传输和扩散规律
190、名词解释 植被覆盖率
191、多项选择题 对工矿企业环境噪声现状水平调查方法包括()
A.现有车间,重点为处于85D.B.以上的噪声源分布及声级分析
B.厂区内一般采用网格法布点测量
C.厂界噪声水平测量点布置在厂界外lm处,间隔为50~100m
D.生活居住区,可以用网格法,也可以针对敏感目标监测
192、名词解释 环境影响评价程序
193、名词解释 气温的干绝热递减率
194、问答题 环境影响经济评价的意义?
195、多项选择题 声环境影响预测的步骤包括()。
A.收集预测需要掌握的基础资料
B.确定预测范围和预测点
C.预测时要说明噪声源噪声级数据的具体来源
D.选用恰当的预测模式和参数进行影响预测
196、多项选择题 类比调查方法有()。
A.资料调查
B.实地监测或调查
C.景观生态调查法
D.公众参与凋查法
197、单项选择题
面源扩散模式的扩散参数为()。

A.A
B.B
C.C
D.D
198、多项选择题 潮间带生物调查指标包括()
A.种类组成与分布
B.生物量
C.群落
D.底质
199、填空题 环境保护法的任务是为了保护和改善()与生态环境,防治环境污染和其他公害,保障人体健康,促进社会主义现代化建设的发展。
200、填空题 水体富营养化评价指标按性质可分为()、()和()三大类。
201、多项选择题 大气环境质量现状监测点的布点方法,主要有()。
A.扇形布点
B.网络布点
C.功能布点
D.同心圆布点
202、多项选择题 社会经济调查的主要内容有(〕。
A.人口
B.工业与能源
C.农业与土地利用
D.交通运输
203、多项选择题 景观遥感数据的常见预处理方法包括()。
A.大气校正
B.植被成分
C.帽状转换
D.质地分析
204、名词解释 环境风险评价
205、多项选择题 环境噪声现状测量记录内容包括()
A.测量仪器型号、级别,仪器使用过程的校准情况
B.各测量点的编号、测量时段和对应的声级数据
C.有关声源运行情况
D.有关设备损耗情况
206、单项选择题
河流稀释混合模式中点源稀释混合模式是()。

A.A
B.B
C.C
D.D
207、填空题 污染气象分析的主要内容包括()资料分析和()资料分析。
208、问答题 环境指数在环境影响评价工作中的作用是什么?
209、填空题 环境影响分类按影响效果分类为()。
210、多项选择题 环境过程的分类为()。
A.形态变化过程:酸碱平衡、吸附/解析
B.迁移过程:沉淀和溶解
C.转化过程:生物降解、光反应、水解、氧化-还原
D.生物积累:生物浓缩、生物放大
211、多项选择题 酸性废水的中和剂主要有()。
A.石灰
B.石灰石
C.氢氧化钠
D.氢氧化镁
212、多项选择题 地下水水质现状调查与评价的内容包括()
A.评价因子的选择
B.评价标准的选择
C.地下水监测
D.确定调查参数
213、单项选择题 噪声监测技术要求中,对厂界噪声的监测点位,测点一般设在工业企业单位法定厂界外()m,高度()m以上,对应被测声源距任一反射面不小于()m处。
A.1、1.2、1.5
B.l、1.2、1.2
C.1.2、l、1.5
D.1、1.2、l
214、问答题 大气污染环境评价技术导则要求预测的内容?
215、多项选择题 建设项目造成主要生态环境问题的有()
A、环境污染问题
B、生物多样性减少问题
C、生态系统结构恶化问题
D、生态系统功能降低问题
216、填空题 ()指环境系统的组成要素及组成要素之间关联方式的总和。
217、名词解释 水体化学净化
218、多项选择题 污染物分析中,关于废渣应说明()
A.有害成分
B.溶出物浓度
C.是否属于危险废物
D.排放量、处理和处置的方式和储存方法
219、填空题 按影响的来源分,环境影响可分为()。
220、填空题 ()和()共同负责环境影响评价工程师职业资格制度的实施工作。
221、问答题 环境影响评价的作用是什么?
222、多项选择题 下列有关云量的概念,正确的有()。
A.一般认为总云量大于4即为晴天
B.总云量大于8即为阴天
C.总云量为高云量和低云量之和
D.云以不同的高度分为低云、中云和高云
223、填空题 水污染物根据其性质分类:()()()();按生产和进入环境的方式分为()和()。
224、填空题 空气污染生物评价法中,以大气污染的()应用最广。
225、单项选择题
有风点源扩散模式中,污染源下风向地面轴线浓度公式为()

A.A
B.B
C.C
D.D
226、多项选择题 与环境容量有关的因素有()。
A.该环境的社会功能
B.该环境的环境背景和污染源位置
C.污染物的物理化学性质
D.环境自净能力
227、多项选择题 固体废物污染物进人大气环境的途径有()。
A.固体废物在堆存和处理处置过程中产生有害气体
B.堆放的固体废物中的细微颗粒、粉尘等可随风飞扬
C.焚烧法处理固体废物引起大气污染
D.固体废物堆放、处理和处置过程中,有害成分浸出
228、单项选择题 对于二、三级评价项目的地面气象资料,至少要()。
A.年、季地面温度,露点温度及降雨量
B.年、季各风向,各风速段,各级大气稳定度的联合频率及年、季的各级大气稳定度的出现频率
C.月平均风速随月份的变化
D.季小时平均风速的日变化
229、问答题 建设项目生态环境影响评价应阐明的内容?
230、单项选择题 我国现行的《城市区域环境噪声标准》(GB3096-93)规定了城市五类区域的环境噪声最高限值,其中居住、商业、工业混杂区应采用的标准是()。
A、0类标准
B、1类标准
C、2类标准
D、3类标准
E、4类标准
231、填空题 水环境现状监测数据统计的方法()()()。
232、问答题 环境影响评价基本内容?
233、单项选择题 下列选项中不属于工程分析工作内容的是()
A.工艺流程和产物环节分析
B.污染物分析
C.清洁生产分析
D.人员编制安排
234、填空题 普通说话声的声压为(),则其声压级为()。
235、单项选择题 运用数学模型预测河流水质时,充分混合段可以采用()预测断面平均水质。
A、一维模式
B、零维模式
C、三维模式
D、S-P模型
236、填空题 大气环境影响评价工作中污染物的排放量是用污染物的()作为评价等级划分的。
237、多项选择题 下面对于取样垂线上取样水深的确定,()说法不正确。
A、水深为1~5m时,取样点距水面不应小于0.3m,距河底也不应小于0.3m
B、水深为1-5m时,只在水面下0.5m处取一个样
C、水深大于5m,在水面下0.5m处及在距河底0.5m处,各取样一个
D、水深大于5m,在水面下0.3m处及在距河底0.3m处,各取样一个
238、填空题 污染气象学把湍流特征不连续界面以下的大气称为(),其高度是()。
239、多项选择题 有较大保护价值的野生生物包括()。
A.已经知道具有经济价值的物种
B.有助于进行科学研究的物种
C.有利于研究种群生态学的物种
D.某些正在把自己从原来的生存范围内向其他类型栖息地延伸、扩展的物种
240、单项选择题 旨在保留和提供环境的“本底”而划定的特殊环境区域是()
A、森林公园
B、风景名胜区
C、自然保护区
D、自然遗迹地
241、多项选择题 底栖生物调查指标包括()
A.总生物量和密度
B.种类及其生物量、密度
C.种类、组成、分布
D.群落与优势种
242、单项选择题
常规污染物瞬时点源河流一维水质预测模式的基本水质方程为:
那么,在距离瞬时点源下游。处的污染物浓度峰值表达式为()。

A.A
B.B
C.C
D.D
243、填空题 项目三同时:()()()。
244、多项选择题 拟建项目的活动阶段划分包括()
A.建设前期
B.建设期
C.运行期
D.服务期满后
245、多项选择题 环境的程度和显著性的相关因素包括()
A.拟建项目的活动特征
B.拟建项目的活动强度
C.相关环境要素的承载能力
D.各项环境要素指标本底值
246、多项选择题 下列说法正确的有()。
A.施工期环境保护监理范围即指工程施工区
B.监理工作方式包括常驻工地实行即时监管,亦有定期巡视辅以仪器监控
C.对于普遍存在的再生周期短的资源损失,当其恢复的基本条件没有发生逆转时,要制定恢复和补偿措施
D.绿化方案一般应包括编制指导思想、方案目标、方案措施、方案实施计划及方案管理
247、单项选择题 关于噪声测量时段,不正确的是()。
A.应在声源正常运行工况的条件下选择适当时段测量
B.每一测点,应分别进行昼间、夜间时段的测量,以便与相应标准对照
C.对于噪声起伏较大的情况,应增加昼间、夜间的测量次数
D.对于噪声起伏较大的情况,应适当减少昼间、夜间的测量次数
248、填空题 水的自净机制分为:()()()。
249、多项选择题 下列属于工业固体废物的是()。
A.冶金工业固体废物
B.能源工业固体废物
C.石油化学工业固体废物
D.商业固体废物
250、多项选择题 污染源分布和源强核算过程中,为了说明废气的源强、排放方式和排放高度及存在的有关问题,可将废气按()进行核算
A.点源
B.面源
C.线源
D.浓度
251、问答题 为什么要开展区域环境影响评价?
252、填空题 通常认为环境质量指数越高,相应的环境质量越()。
253、问答题 计算题:某工厂年排废水200万吨,废水中COD220mg/l排入三类水域,采用的废水处理方法COD去除率50%,三类水体标准为100mg/l。请提出该厂COD排放总量控制建议指标并说明理由。
254、单项选择题
模拟法步骤:
①根据开发区发展规划和布局,利用工程分析、类比等方法预测污染源的分布、源强和排放方式,并分别处理为点源、面源、线源和体源;
②掌握开发区的空气质量现状C.ijB.,确定污染物控制浓度C.ij=C.ij0—C.ijB.
③对开发区进行网格化处理,并按环境功能分区确定每个网格的环境质量保护目标C.ij0;④比较C.ijA.和C.ij,如果影响值超过控制浓度,提出布局、产业结构或污染源控制调整方案,然后重新开始计算;
⑤利用《环境影响评价技术导则》规定的空气质量模型或经过验证适用于本开发区的其他空气质量模型模拟所有预测污染源达标排放的情况下对环境质量的影响C.ijA.。
⑥加和满足控制浓度的所有污染源的排放量.其和可视为开发区的环境容量。
正确的顺序是()。
A.①②③④⑤⑥
B.③②①⑤④⑥
C.①②④③⑤⑥
D.③①⑤②④⑥
255、名词解释 环境影响评价制度
256、填空题 我国的环境标准由五类三级组成。五类,是指环境质量标准、污染物排放标准、环境基础标准、监()。三级,是指我国环境标准分为国家级、国家环境保护总局级和地方级。
257、多项选择题 建设项目竣工环境保护验收监测与调查中,清洁生产调查工作的主要任务是调查环评文件和批复文件所要求的清洁生产指标落实情况,如()。
A.单位产品耗新鲜水量及废水回用率
B.固体废物资源化利用率
C.单位产品能耗指标及清洁能源替代要求
D.单位产品污染物产生量指标
258、填空题 建立区域环境承载力指标体系应遵循()等五条原则。
259、名词解释 生态环境
260、问答题 人类对环境质量的需求有哪些?
261、多项选择题 生态环境影响计价的目的是〔)。
A.评价生态环境影响的现状情况
B.评价影响的性质和影响程度、影响的显著性,以决定行止
C.评价生态影响的敏感性和主要受影响的保护目标,以决定保护的优先性
D.评价资源和社会价值的得失,以决定取舍
262、多项选择题 生态环境现状评价的一般要求包括()
A.阐明生态系统的类型、基本结构和特点
B.阐明域内自然资源赋存和优势资源及其利用状况
C.阐明域内不同生态系统间的相关关系及连通情况,各生态因子间的相互关系
D.明确主要的或敏感的保护目标
263、单项选择题 噪声监测分析过程中,声级计在测试前后应用标准发声源进行校准,测量前后仪器的灵敏度柏差不大于()D.B.,否则测试数据无效。
A.0.2
B.0.3
C.0.5
D.0.8
264、单项选择题 关于景观遥感分类,下列说法错误的是()。
A.常见的数据预处理方法:大气校正、几何纠正、光谱比值、主成分、植被成分、帽状转换、条纹消除和质地分析等
B.遥感影像分类包括:非监督分类、监督分类和特殊分类
C.分类结果的后处理包括:光滑或过滤、几何校正、矢量化及人机交互解译
D.分类精度评价,通常采用选取有代表性的检验区的方法,检验区的类型包括:监督分类的训练区、指定的同质检验区和随机选取检验区
265、填空题 喷气式飞机喷气口附近声压为630pa,其声压级为(),声压为-0.002pa,其声压级为()dB。
266、填空题 清洁生产三个等级的内容()、()、()。
267、多项选择题 大气环境现状监测的数据统计中,一般包括的内容有()。
A.浓度范围
B.各取值时间的平均值
C.超标率及超标倍数
D.各取值时间的最大浓度及地点
268、单项选择题 现代废水处理技术中,下列方法属于物理法的是()。
A.隔油
B.催化氧化
C.活性污泥法
D.焚烧
269、名词解释 生态环境问题
270、单项选择题 根据我国《珍稀濒危野生植物名录》,把我国的重点保护野生植物分为()。
A、珍稀种、濒危种、稀有种
B、濒危种、稀有种,渐危种
C、珍稀种、稀有种、普遍种
D、濒危种、渐危种、普遍种
271、多项选择题 生态环境影响评价的指标有()。
A.生态学评价指标与基难
B.可持续发展评估指标和基准
C.以政策与战略作为评估指标与基准
D.以环境保护法规和资源保护法规作为评估基准
272、多项选择题 污染气象参数的调查内容主要依据于()。
A、项目评价等级
B、评价的性质
C、评价的要求
D、评价的方法
273、填空题 水质指数(WQI)的提出采用的是()。
274、名词解释 环境影响
275、单项选择题 对于最终排入环境的污染物,需要确定其是否达标排放,达标排放必须按照项目的()
A.最小负荷
B.工作负荷
C.平均负荷
D.最大负荷
276、填空题 环境系统的结构是决定环境具有不同特性的内在原因,即()。
277、名词解释 计权等效连续感觉噪声级
278、多项选择题 鱼类调查指标包括()。
A.种类组成与分布
B.渔获密度、组成与分布
C.渔获生物量、组成与分布
D.经济鱼类和常见鱼类
279、单项选择题 一般三级处理能够去除()的含氮物质。
A.90%
B.95%
C.98%
D.99%
280、多项选择题 水样采集、保存和分析的方法包括()
A.河口水样盐度<3%者,同河流、湖泊等的原则与方法;盐度>3%的,按海湾原则与方法执行
B.河口水样盐度<5%,同河流、湖泊等的原则与方法;盐度≥5%的,按海湾原则与方法执行
C.河口水样盐度<7%,同河流、湖泊等的原则与方法;盐度≥7%的,按海湾原则与方法执行
D.河流、湖泊、水库水样保存、分析的原则和方法按《地表水环境质量标准》
281、单项选择题
公式法计算噪声级的相加步骤正确的是()

A.A
B.B
C.C
D.D
282、问答题 噪声的衰减有哪些?
283、问答题 视觉影响评价内容应包括几个方面?
284、多项选择题 清单法分类包括()
A.简单型清单
B.综合型清单
C.分级型清单
D.描述型清单
285、填空题 ()指人类社会主体对环境客体与主体需要之间关系的定性或定量的描述。
286、多项选择题 大气环境影响评价的工作程序一般包括()。
A、准备阶段,为研究有关文件,进行初步分析和环境现状调查,确定评价工作等级和编制评价大纲
B、正式工作阶段,包括调查、预测和评价三个部分
C、报告书编制阶段
D、向上级汇报阶段
287、名词解释 生态服务功能
288、问答题 环境影响评价公众参与的优缺点有哪些?
289、多项选择题 建设项目竣工环境保护验收监测与调查中的生态调查的主要内容有()。
A.文件中提及的生态保护措施的情况
B.建设项目已采取的生态保护、水土保持措施实施效果
C.开展公众意见调查
D.针对建设项目将产生的环境破坏或潜在的环境影响提出补救措施或应急措施
290、单项选择题 废气监测技术中要求,对无组织排放的监测点位安排,监控点最多可设()个。
A.4
B.5
C.7
D.8
291、填空题 环境检测站、点布设的方法主要有()和()、形心法、统计法和模拟法。
292、多项选择题 非正常排放一般包括的内容有()
A.非正常凯、停车或部分设备检修时排放的污染物
B.正常开、停车或部分设备检修时排放的污染物
C.工艺设备或环保设施达不到设计规定指标运行时的排污
D.工艺设备或环保设施达到设计规定指标运行时的排污
293、单项选择题 旅游资源开发过程中应严重关注的生态问题是()。
A.生态功能改变
B.视觉景观重建
C.水土流失危害
D.土地资源占用
294、单项选择题 下列选项中,不属于社会环境调查基本内容的是()
A.社会经济
B.地形地貌
C.人群健康状况
D.文物与景观
295、问答题 简述工程分析中工艺技术分析内容。
296、填空题 垃圾焚烧的两个重要技术问题:()、()。
297、填空题 按影响的性质(程度)分,环境影响可分为()。
298、多项选择题 物料衡算法计算污染物排放量时,当投入的物料在生产过程中发生化学反应时,进行衡算所采取的方法为()。
A、定额法
B、总量法
C、类比法
D、资料法
299、填空题 Delphi法中,专家权威程度可由专家对()和专家对()两方面因素确定。
300、多项选择题 下列关于湖泊、水库水质取样的正确说法有()。
A、尽量覆盖推荐的整个调查范围
B、能够反映湖泊、水库的水质和水文特征
C、取样位置的间隔一般采取均匀间隔的方法
D、可采用以建设项目的排放口为中心,向周围辐射的布设采样位置