时间:2019-05-07 02:47:14


1、问答题 分析影响水环境介质中污染物浓度的因素。
2、单项选择题 下面关于生物影响评价的说法不确切的是()。
A、用于预测和评价生物影响的方法必须是基于项目或行动的类型及与之相关联的影响方面的全面考虑
B、用于预测和评价生物的技术手段很多,包括将数据资料编排得当的报告,生物指数,数学和物理模型以及费用-效益分析法等,但应根据实际慎重选用
C、景观生态学方法不能用于生态环境综合评价
D、在陈述生物环境影响时,重要之点是确认生物-生态环境是一个动态的整体系统
3、填空题 ()和(),则只有国家级而无地方级,全国统一执行国家标准。
4、多项选择题 情景预测一般要考虑的内容有()。
A.污染源类别
B.预测因子
C.气象条件
D.计算受体
5、多项选择题 固体废物对水环境的影响包括()。
A.把水体作为固体废物的接纳体
B.固体废物在堆积过程中,经过自身分解和雨水淋溶产生的渗滤液流人河、湖泊和渗人地下引起地表水和地下水污染
C.废物堆放、储存和处置过程中挥发,污染大气中的水
D.固体废物堆放、处理和处置过程中,有害成分浸出
6、多项选择题 下面()是河流水文调查的内容。
A、丰水期、平水期、枯水期的划分
B、河流的面积和形状
C、河流平直及弯曲
D、结冰、封冻、解冻
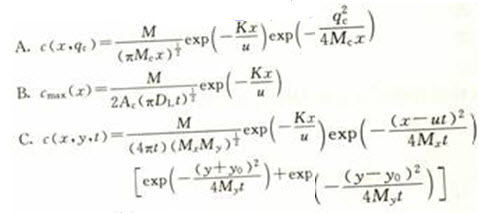
7、多项选择题 地理信息系统的数据结构种类包括()
A.矢量结构
B.栅格结构
C.层次结构
D.并行结构
8、问答题 生态环境影响评价的方法有哪些?
9、多项选择题 对于建设项目工业区水量包括()
A.间接冷却水量
B.工艺用水量
C.锅炉给水量
D.生活用水量
10、多项选择题 熏烟 现象一般出现在()等情况下。
A、日出前后
B、日落前后
C、海岸线附近
D、山谷间
11、多项选择题 大气污染调查中面源统计的参数包括()。
A.烟气出口速度
B.主要污染物排放量
C.面源有效排放高度、网格面源或单个面源的平均海拔高度
D.网格面源分类
12、填空题 污染气象学把湍流特征不连续界面以下的大气称为(),其高度是()。
13、名词解释 环境评价
14、多项选择题 应用景观生态学方法分析时,需要回答的问题是()。
A.生态系统是否毁灭或是否严重恶化
B.生态系统是否可正向演替或自然恢复
C.生态系统的恢复稳定性是否增加
D.生态系统的阻抗稳定性是否增加
15、单项选择题 下列几种活性污泥法中,具有占地大、投资高、运行费用也略高的缺点是()。
A.氧化沟
B.传统活性污泥法
C.阶段曝气法
D.完全混合法
16、单项选择题 采取了减缓措施后,环境影响的表述为()。
A.「拟建项目」十[活动]→(变化的环境)
B.「拟建项目」十[环境]→(变化的环境)
C.(活动)i(要素)j→(预测和评价)→减缓措施→(剩余影响)ji
D.(活动)i(要素)j→(影响)ji→(预测和评价)→减缓措施→(剩余影响)ji
17、多项选择题 栖息地评价的主要方法有()。
A.分类法
B.相对生态评价图法
C.生态价值评价图法
D.扩展的生态价值评价法
18、问答题 何谓环境容量、环境影响评价?何谓环境质量评价?两者之间有何区别??
19、单项选择题 在森林开采过程中,环境危害方面的调查因子应选择()。
A.土地资源退化
B.“三废”排放
C.局地气候变化
D.交通噪声污染
20、单项选择题 关于不利气象条件,下列说法错误的是()。
A.熏烟型气象条件出现在日出前
B.熏烟状态可以按一次取样计算
C.其他气象条件可酌情按lh取样或按日均值计算
D.在目前评价中选择不利气象条件经常采用的方法是从全年每小时和每日计算出的小时和日平均地面浓度中筛选出对环境敏感区和综合各关心点造成污染较重的小时或日典型气象条件
21、填空题 按照pasquill对大气稳定度的分类方法有A、B、C、D、E、F类,其中属于稳定状态类的是()。属于不稳定类的是()。
22、多项选择题 关于下列概念,说法正确的是()。
A.风频指某风向占总观测统计次数的百分比
B.风向玫瑰图是统计所收集的多年地面气象资料中16个风向出现的频率
C.风速是指空气在单位时间内移动的垂直距离
D.风场是指局地大气运动的流场
23、单项选择题
常规污染物瞬时点源河流一维水质预测模式的基本水质方程为:
那么,在距离瞬时点源下游。处的污染物浓度峰值表达式为()。

A.A
B.B
C.C
D.D
24、填空题 水污染物根据其性质分类:()()()();按 生产和进入环境的方式分为()和()。
25、多项选择题 生态环境现状评价的一般要求包括()
A.阐明生态系统的类型、基本结构和特点
B.阐明域内自然资源赋存和优势资源及其利用状况
C.阐明域内不同生态系统间的相关关系及连通情况,各生态因子间的相互关系
D.明确主要的或敏感的保护目标
26、填空题 环境质量监测系统中的各种监测指标和参数具有()和()两大特点。
27、单项选择题 对于处在GB3096-93规定的1类标准的地区的某中型扩建项目,该项目应按()级评价进行工作。
A、一级
B、二级
C、三级
D、四级
28、问答题 环境影响评价基本内容?
29、单项选择题 关于S-P模式,下列说法正确的是()。
A、是研究河流溶解氧与BOD关系的最早的、最简单的耦合模型
B、其基本假设为氧化和复氧都是一级反应
C、可以用于计算河段的最大容许排污量
D、河流中的溶解氧不只是来源于大气复氧
30、多项选择题 产污环节分析中,必须要在工艺流程中表明的是()。
A、污染物的产生位置
B、污染物的类型
C、主要化学反应式
D、主要副 反应式