手机用户可
保存上方二维码到手机中,在
微信扫一扫中右上角选择“从
相册选取二维码”即可。
1、填空题 00毫米水柱的压力相当于()毫米酒精柱的压力。
点击查看答案
本题答案:125
本题解析:试题答案125
2、问答题 简述管道支架按工况分类有哪几种?
点击查看答案
本题答案:单向活动支架;双向活动支架(包括摇摆支架;双向滑动支架
本题解析:试题答案单向活动支架;双向活动支架(包括摇摆支架;双向滑动支架;摇动吊架);固定支架
3、填空题 盲板直径偏大,盲板到位后,螺丝拧不上,应采取的应急措施是在盲板后()。
点击查看答案
本题答案:无煤气侧周边加牙
本题解析:试题答案无煤气侧周边加牙
4、问答题 排水器的种类有那些?
点击查看答案
本题答案:低压立式、高压立式、低压卧式、高压卧式、干式、要求水封
本题解析:试题答案低压立式、高压立式、低压卧式、高压卧式、干式、要求水封高度在10000Pa以内采用单水封,超过10000Pa采用复水封或多室水封。
5、填空题 常用的温度计量单位有摄氏温度、()两种。
点击查看答案
本题答案:开氏温度
本题解析:试题答案开氏温度
6、问答题 简述保温蒸汽管道的传热过程?
点击查看答案
本题答案:管内蒸汽通过对流放热把热量传给管子内壁,管壁再靠传导方
本题解析:试题答案管内蒸汽通过对流放热把热量传给管子内壁,管壁再靠传导方式把热量传给保温层,保温层仍通过传导把热量传到外表面,然后对流放热把热量传给周围空气。
7、问答题 炼钢转炉煤气回收的处理方法有哪几种?
点击查看答案
本题答案:两种即燃烧法和未燃法。
本题解析:试题答案两种即燃烧法和未燃法。
8、问答题 带煤气抽堵盲板作业的准备工作有哪些?
点击查看答案
本题答案:(1)做好带煤气抽、堵盲板作业方案;
(2)
本题解析:试题答案(1)做好带煤气抽、堵盲板作业方案;
(2)办理带煤气抽、堵盲板申请手续及煤气危险作业工作许可证;
(3)准备好符合规格的盲板和垫圈;
(4)搭设符合要求的作业平台和通道;
(5)搭设吊具;
(6)在抽、堵盲板法兰两侧,焊斜鱼子1~3对;
(7)在进行焦炉煤气作业或高、焦混合煤气和转炉煤气盲板作业时,在作业法兰两侧(包括法兰在内)刷石灰水或涂黄甘油;
(8)安装接地线,对地电阻不大于5欧姆;
(9)夜间作业时应架设照明,照明要使用防爆型的透光器,并且距法兰口10米以外;
(10)作业前更换作业法兰的螺丝;
(11)准备作业中所需要的工具,如果焦炉煤气盲板作业或混合煤气作业要使用铜工具,如铁工具必须涂黄甘油;
(12)准备防毒面具。
9、问答题 接地装置的作用是什么?
点击查看答案
本题答案:接地装置的作用是当设备或其外壳发生接地故障时,故障电流
本题解析:试题答案接地装置的作用是当设备或其外壳发生接地故障时,故障电流通过接地装置泄至大地,确保人身安全。
10、问答题 简述吹扫放散管的作用?
点击查看答案
本题答案:新系统投产,系统检修以及检修完毕后,投运时煤气与氮气或
本题解析:试题答案新系统投产,系统检修以及检修完毕后,投运时煤气与氮气或蒸汽置换时使用。
11、问答题 计算题:在DN2000mm管道上,开DN1200mm的孔,马鞍的短腰是150mm长,求马鞍的长腰是多少?
点击查看答案
本题答案:
试题答案
答:马鞍的长腰是350mm。
12、填空题 焦炉煤气成份中的()易受热升华。
点击查看答案
本题答案:萘
本题解析:试题答案萘
13、问答题 管托按上下连接方式分类有几种?
点击查看答案
本题答案:上滑式管托;下滑式管托;固定管托;滚动管托;铰接管托。
本题解析:试题答案上滑式管托;下滑式管托;固定管托;滚动管托;铰接管托。
14、问答题 什么是压缩空气?
点击查看答案
本题答案:空气具有可压缩性,经空气压缩机做机械功使本身体积缩小、
本题解析:试题答案空气具有可压缩性,经空气压缩机做机械功使本身体积缩小、压力提高后的空气叫压缩空气。
15、填空题 &n 91e xam.netbsp;煤气流量小于煤气燃烧速度时,火焰向管道内或设备内传播燃烧的现象称之为()。
点击查看答案
本题答案:回火
本题解析:试题答案回火
16、问答题 煤气管道堵塞处理时的注意事项?
点击查看答案
本题答案:(1)冻结或堵塞时禁止用火去烤管壁以防爆炸;
本题解析:试题答案(1)冻结或堵塞时禁止用火去烤管壁以防爆炸;
(2)如低洼处无法放水则不能将蒸汽通入管内;
(3)如果在低洼处存水太多,可在管的底部搬眼将水放出;
(4)冻结或堵塞时压力产生波动和下降,应立即通知用户止火。
17、问答题 煤气为什么会使人中毒?
点击查看答案
本题答案:煤气中含大量CO,CO被吸入人体后,与红血球中的血红素
本题解析:试题答案煤气中含大量CO,CO被吸入人体后,与红血球中的血红素结合成碳氧血红素,使血红素凝结,破坏了人体血液的输氧机能,阻碍了生命所需的氧气供应,使人体内部组织缺氧而引起中毒。CO与血红素的结合能力比O2与血红素的结合能力大300倍,而碳氧血红素的分离,要比O2与血红素的分离慢3600倍。
18、问答题 煤气着火事故的处理?
点击查看答案
本题答案:(1)由于设备不严密而轻微小漏引起的着火,可用灭火器或
本题解析:试题答案(1)由于设备不严密而轻微小漏引起的着火,可用灭火器或湿泥灭火,火熄后,再按规定补好漏处;
(2)直径小于100mm的管道着火时,可直接关闭阀门灭火;
(3)直径大于100mm的管道着火时,切记不能突然关门灭火,以防回火爆炸;
(4)煤气大量泄漏着火时,采用关阀降压通入蒸汽或氮气灭火,降压时,压力应逐渐下降,不致造成突然关死阀门引起回火爆炸,其压力不能低于5~10mmH2O;
(5)煤气设备烧红时,不得用水骤然冷却,以防管道和设备急剧收缩造成变形和断裂;
(6)煤气设备内的沉积物如萘.焦油等着火时,可将设备的人孔,放散管等一切与大气相通的附属孔关闭,使其隔绝空气自然熄火,或通入蒸汽或氮气灭火,熄火后切断煤气来源,再按有关规程处理。
19、问答题 水封的优点有哪些?
点击查看答案
本题答案:水封是静止设备,开闭操作方便;水封设置简单、投资少;水
本题解析:试题答案水封是静止设备,开闭操作方便;水封设置简单、投资少;水封只要达到煤气计算压力要求的有效水封高度即可切断煤气,不致产生漏气问题。
20、问答题 简述发生电器火灾的急救方法?
点击查看答案
本题答案:发生电器火灾首先要切断电源,用二氧化碳灭火器灭火,严禁
本题解析:试题答案发生电器火灾首先要切断电源,用二氧化碳灭火器灭火,严禁用水灭火,为防止灭火过程中发生触电,人与设备之间保持安全距离(0.5~1米),禁用泡沫灭火器,现场没有灭火器可用沙土,干土代替灭火。
21、问答题 什么叫爆炸上限?
点击查看答案
本题答案:在这种混合物中当可燃气体的含量减少到不能形成爆炸混合物
本题解析:试题答案在这种混合物中当可燃气体的含量减少到不能形成爆炸混合物时的那一含量,称为可燃气体的爆炸下限。
22、问答题 什么是点火燃烧?
点击查看答案
本题答案:在冷的混合物中,用一个不大的点火源在某一局部地方点火,
本题解析:试题答案在冷的混合物中,用一个不大的点火源在某一局部地方点火,引起局部着火燃烧,然后向其它地方传播,最终使整个混合物达到着火燃烧
23、问答题 请简述双文系统除尘的工艺流程?
点击查看答案
本题答案:高炉——重力除尘器&mdash
本题解析:试题答案高炉——重力除尘器——一级定径文氏管——二级调径文氏管——减压阀组——脱水器——净煤气管网。
24、问答题 叙述管道开孔操作规程。
点击查看答案
本题答案:(1)检查确认开孔处阀门的阀板全部提进阀腔,阀门做好支撑。
本题解析:试题答案(1)检查确认开孔处阀门的阀板全部提进阀腔,阀门做好支撑。
(2)检查确认作业平台符合要求。
(3)检查开孔机安装无漏项。将开孔机与开孔处阀门组装,把紧螺丝。
(4)用氮气将开孔机、阀腔和马鞍短管内空气置换出去,检测氧含量合格后,停氮气。
(5)转动大盘应灵活。将开孔机电机380伏和监视器220伏电源接好,调中心钻和边钻为顺时针旋转,将摄像头和监视器调整在正常工作状态。
(6)接好油管、压力表和手动油泵,并注满油。
(7)转动两个手轮进钻,当中心钻碰到管壁时,停止进钻,记下标尺位置,并将中心钻退出2圈。
(8)启动中心钻电机,将管壁钻透停机后,将中心钻伸进100mm,打开放散头置换煤气直至合格。
(9)将边钻定位于左上方45度,启动手动液压泵使支撑架顶头顶住管壁,并观察压力表,使压力表压力保持在4~6MPa。
(10)转动边钻手轮,使边钻头顶到管壁上,然后退出1~2圈。启动边钻电机,缓慢转动手轮进钻,并随时观察压力表,同时用监视器观察,钻透后退钻停机。将手动液压泵卸压。
(11)转动转盘,转动的距离事先计算好。若显示器出现故障时转动距离适当缩小。
(12)重复(9)、(10)步骤操作。
(13)当边钻钻至最后一孔时,应注意压力表,并缓慢进钻,当油压表压力回零时,弧板钻掉,停边钻电机。
(14)将液压油卸回油泵,并拽紧油管的拉线,同时转动边钻与中心钻手轮退刀,,两钻头同时退到底,防止将油管夹住和弧板脱落。
(15)手动关闭阀门,撤掉电源,卸下开孔机。
(16)堵上盲板
25、填空题 同一水平面上各点的流体静压力()。
点击查看答案
本题答案:相等
本题解析:试题答案相等
26、问答题 氢气的物理性质是什么?
点击查看答案
本题答案:(1)氢是一种无色、无嗅、无味的气体。
(2
本题解析:试题答案(1)氢是一种无色、无嗅、无味的气体。
(2)密度是0.0899Kg/m3。
(3)氢的分子运动速度最快,故具有最大的扩散度和很高的导热性,其导热能力是空气的七倍。
(4)氢气的燃点为574℃,很容易着火,在微小的静电火花下也容易着火。
(5)氢气燃烧时,发出浅蓝色火焰,生成水,并放出大量的热。
(6)在空气中的爆炸范围4.0~75%。
(7)氢气是可燃气体,可直接用作燃料,氢氧焰能达到3000℃高温。
(8)氢气主要用作保护气体和还原气体。
(9)氢气被用作冷却剂时,可对几十万千瓦的大型发电机进行冷却。
27、填空题 四项制度是指安全监护制度、停送电制度、()、确认制度。
点击查看答案
本题答案:联系制度
本题解析:试题答案联系制度
28、填空题 流体的动力粘度与其密度的比值称()。
点击查看答案
本题答案:运动粘度
本题解析:试题答案运动粘度
29、问答题 计算题:干式焦炉煤气柜,活塞设定压力为4500Pa,焦炉煤气密度为0.5Kg/m3,问气柜充至60m时,活塞处和柜底压力各为多少?(空气密度为1.29Kg/m3)
点击查看答案
本题答案:
试题答案
答:活塞处压力为4500Pa柜底压力为4035.48Pa。
3 91eXAm.net0、填空题 流体流速与管道的截面积成()。
点击查看答案
本题答案:反比
本题解析:试题答案反比
31、问答题 简述化学反应热着火的预防?
点击查看答案
本题答案:(1)防止产生自燃物质铁的硫化物FeS、Fe2S3最根
本题解析:试题答案(1)防止产生自燃物质铁的硫化物FeS、Fe2S3最根本的方法是煤气进入煤气管道前消除其中的H2S含量至最小程度;
(2)采取防止煤气管道内腐蚀的措施。例如,煤气的干燥、管道内采用保护层及用非钢管材;
(3)作业时,在作业点附近向管道内大量通入氮气或蒸汽置换管道内煤气,并使作业点保持微正压,并设置压力表监视压力情况;
(4)煤气作业法兰下方平台铺石棉布,待法兰开口后沉积物坠落在石棉布上,迅速卷起移走;
(5)作业法兰开口后,剔口后再抽出盲板或垫圈,剔口时要快,尽量减少与空气接触时间。
来源:91题库网 91ExAm.net
32、问答题 简述斜鱼子有何要求?
点击查看答案
本题答案:盲板作业中,为使用千斤顶撑开法兰,在作业法兰两侧设斜鱼
本题解析:试题答案盲板作业中,为使用千斤顶撑开法兰,在作业法兰两侧设斜鱼子1~3对,其高300mm,长为350mm,两斜鱼子间距为300mm,斜鱼子应有足够强度,与管道的焊接处应加垫板以免操作中管道变形。
33、问答题 燃气燃烧反应速度与那些因素有关?
点击查看答案
本题答案:燃气的燃烧是一种化学反应,与浓度、压力、温度有关。
本题解析:试题答案燃气的燃烧是一种化学反应,与浓度、压力、温度有关。
34、问答题 计算题:向煤气设备内送高炉煤气置换空气后,要动火检修该设备,经取样做CO含量分析,CO含量达到多少PPm以上时方可动火。
点击查看答案
本题答案:30%×74%=22.2%
=2
本题解析:试题答案30%×74%=22.2%
=222000PPm
答:该设备内CO含量大于222000PPm以上方可点火
35、填空题 焊接盲板则必须做()试验,不得渗漏。
点击查看答案
本题答案:涂油
本题解析:试题答案涂油
36、问答题 在煤气生产过程中,造成煤气着火爆炸事故的主要火源是什么?
点击查看答案
本题答案:明火、高温热源、磨擦撞击引起的火花、静电放电、电气火花
本题解析:试题答案明火、高温热源、磨擦撞击引起的火花、静电放电、电气火花雷电放电、化学反应热。
37、问答题 简述大气式燃烧器的工作原理是什么?
点击查看答案
本题答案:燃气在一定的压力下,以一定的速度从喷嘴流出,进入吸气收
本题解析:试题答案燃气在一定的压力下,以一定的速度从喷嘴流出,进入吸气收缩管,燃气靠本身的能量吸入一次空气,在引射器内燃气和一次空气混合,然后,经头部火孔流出,进行燃烧,形成本生火焰。
38、问答题 简述雷电放电起火的预防?
点击查看答案
本题答案:(1)定期对煤气设备的接地装置进行检测;
(
本题解析:试题答案(1)定期对煤气设备的接地装置进行检测;
(2)严禁雷雨天进行带煤气抽堵盲板作业
39、问答题 计算题:已知某煤气管道的外周长为3210mm,测出螺丝孔里边距管道外壁的距离为35mm,请确定盲板直径是多少?
点击查看答案
本题答案:
试题答案
答:盲板直径为1080mm。
40、问答题 计算题:停送高炉煤气,通风处理残余煤气后要动火检修该设备,经取样做含氧量分析,含氧量达到多少以上时方可动火。(空气中O2含量按20%计算)
点击查看答案
本题答案:
试题答案
答:含氧量达到13%以上时方可动火
41、填空题 对于中度中毒者,恢复知觉,呼吸正常后,送()治疗。
点击查看答案
本题答案:高压氧舱
本题解析:试题答案高压氧舱
42、填空题 按手动补给阀按钮,氧气以每分钟()升的流量进入皮囊。
点击查看答案
本题答案:50~100
本题解析:试题答案50~100
43、问答题 计算题:要制作一块盲板,其计算直径为1000mm,计算压力为7.84KPa,采用A3钢材,其[]=130000KPa,试求其厚度?(K=0.5;C=2mm)
点击查看答案
本题答案:
试题答案
答:盲板厚度为7.5mm。
44、问答题 计算题:已知焦炉煤气的重度为0.5Kg·f/m3,空气的重度为1.29Kg·f/m3,在一楼的煤气相对压力是100毫米水柱,试计算八楼煤气的相对压力?已知八楼的高度为32米。
点击查看答案
本题答案:
试题答案

答:八楼煤气的相对压力125.3mm水柱
45、问答题 什么是自然着火?
点击查看答案
本题答案:使可燃混合物整个容积都达到某一温度,超过该温度,混合物
本题解析:试题答案使可燃混合物整个容积都达到某一温度,超过该温度,混合物便自动着火达到燃烧状态。
46、问答题 什么是伯努里方程式?
点击查看答案
本题答案:伯努里方程是能量守恒定律在流体力学中的表现形式。单位质
本题解析:试题答案伯努里方程是能量守恒定律在流体力学中的表现形式。单位质量的理想流体在流动过程中,位能、压力能和动能之和守恒。即Z+P/r+V2/2g=常数。
47、填空题 空气中CO浓度为()%时迅速死亡。
点击查看答案
本题答案:0.4
本题解析:试题答案0.4
48、问答题 根据钢水的脱碳速度快慢将未燃法回收转炉煤气有几种工况?
点击查看答案
本题答案:前烧期、回收期、后烧期。
本题解析:试题答案前烧期、回收期、后烧期。
49、填空题 热力学温度和摄氏温度二者的关系是()。
点击查看答案
本题答案:T=273+t
本题解析:试题答案T=273+t
50、问答题 什么是机械水?
点击查看答案
本题答案:机械水是指以液滴的形态存在于煤气中的那部分水。
本题解析:试题答案机械水是指以液滴的形态存在于煤气中的那部分水。
51、填空题 在现实中可燃混合物着火和开始燃烧,有自然和()两种方式。
点击查看答案
本题答案:点火燃烧
本题解析:试题答案点火燃烧
52、问答题 燃烧种类及其特点是什么?
点击查看答案
本题答案:(1)燃烧按燃烧产物分为完全燃烧和不完全燃烧。其特点是
本题解析:试题答案(1)燃烧按燃烧产物分为完全燃烧和不完全燃烧。其特点是:完全燃烧其产物中无可燃成份;不完全燃烧其产物中还含有一定量的可燃成份。
(2)燃烧按燃烧方法分为动力燃烧和扩散燃烧。动力燃烧是煤气空气在进入燃烧室前先均匀混合后再进入燃烧室着火燃烧。其特点是燃烧强度高,燃烧完全,燃烧产物中没有烟粒,燃烧室中透彻明亮;扩散燃烧是煤气和空气分别进入燃烧室后边混合边燃烧,其特点是:可予热到很高的温度,同时由于局部氧气的不足而发生碳氧化合物分解产生游离碳;因此,在燃烧产物中有固定体微粒存在,产生强烈的光和热辐射,形成光亮的燃烧。
53、问答题 计算题:请计算一个标准状态下2升的氧气瓶,在200Kg.f/cm2下充满氧气时,瓶内能装多少升氧气?(假定1大气压为100KPa)
点击查看答案
本题答案:
试题答案
瓶内能装400升氧气。
54、问答题 什么是流速?
点击查看答案
本题答案:流体在单位时间内流经的距离叫流速。
本题解析:试题答案流体在单位时间内流经的距离叫流速。
55、填空题 煤气中的饱和水含量随煤气湿度的升高而(),且温度越高,变化越明显。
点击查看答案
本题答案:增加
本题解析:试题答案增加
56、问答题 为什么要合理的控制过剩空气系数?
点击查看答案
本题答案:因为在燃烧区的过剩空气系数太小,由于燃烧不完全,使得热
本题解析:试题答案因为在燃烧区的过剩空气系数太小,由于燃烧不完全,使得热损失增大,理论燃烧温度降低。若过剩空气系数太大,则增加了燃烧产物的数量,使得燃烧温度降低。因此为提高实际燃烧温度,必须合理控制过剩空气系数。
57、问答题 补偿器的安装要求有哪些?
点击查看答案
本题答案:(1)为保证补偿煤气管道轴线上的位移顺利进行,补偿器前
本题解析:试题答案(1)为保证补偿煤气管道轴线上的位移顺利进行,补偿器前后应安设两个专用的活动管架,其间距一般在3~6米,以免自重产生弯曲影响导流筒的同心度。弯管补偿器的弯管中心部位还应增加支撑管架;
(2)煤气管道的直线段应根据支撑管架高度及其顶部的活动量(一般采用2.5%)来确定两固定点间的最大距离;
(3)补偿器安装前应根据当地当时气温经预拉伸固定后才进行安装,在整体安装完毕后放开;
(4)根据两个固定点的间距计算补偿量,选择的补偿器能力不得小于补偿量的要求。补偿器应该设在两固定点间的中心位置,共架管道和煤气管道上的附加管道的补偿分段应同母管一致,以免相互干涉;
(5)补偿器的导流板应与气流顺向安装,如煤气管道设有坡度则顺排水方向安装。导流板必须与管道同心,安装前要认真检查四周间隙并清除杂物等卡碰因素,确保伸缩无阻。
58、填空题 四不放过是指事故原因未查清不放过、责任人员未处理不放过、()未落实不放过、有关人员未受教育不放过。
点击查看答案
本题答案:整改措施
本题解析:试题答案整改措施
59、问答题 如何使用苏生器抢救中毒人员?
点击查看答案
本题答案:(1)安置伤员:将伤员置于空气新鲜处,解开紧身上衣(如
本题解析:试题答案(1)安置伤员:将伤员置于空气新鲜处,解开紧身上衣(如系湿衣,需脱掉),适当覆盖,保持体温,肩部垫高10~15厘米,头尽量后仰,面部转向一侧,以利呼吸道畅通;对溺水者应先使伤员俯卧,腹部垫起,轻压背部,让水从气管和胃中倾出。
(2)清理口腔:将扩口器由伤员嘴角处插入前臼齿间,将口启开;用挟舌器拉出舌头;用药布裹住食指,清除口腔中的分泌物和异物。
(3)清理喉腔:从鼻腔插入吸引管24~32厘米,打开气路,将吸引管往复移动,污物、黏液、水等异物则吸至吸污瓶;如瓶内积污过多,可拔开连接管,半堵引射器喷嘴(注意:全堵则吸污瓶易爆),积污即可排除。
(4)插口咽导气管(压舌器):根据成人、中人、小孩选择插入大小适宜的口咽导气管(压舌器),以防舌后坠使呼吸道梗阻,插好后送回舌头,以防伤员痉挛咬伤舌头。(注:吸引管插入的长度,根据成人、中人、小孩选择而定。插入气管时防止插入食道。)
(5)人工呼吸:将自动肺与导气管、面罩连接;打开气路,便听到“飒飒…”的气流声音;将面罩紧压在伤员面部,自动肺便自动的交替进行充气与抽气,自动肺上的标杆即有节律的上下跳动;与此同时,同手指轻压伤员喉头中部的环状软骨,借以闭塞食道,防止气体充入胃内,导致人工呼吸失效;如果人工呼吸进行正常,则伤员胸部有明显起伏动作,此时可停止压喉,并用头带将面罩固定。
(6)调整呼吸频率:调整减压器和配气阀旋扭,使呼吸频率达:成人12~16次/分,相当于小孩30次/分。
(7)氧吸入:将呼吸阀与导气管、储气囊连接;打开气路后接在面罩上;调整气量,使储气囊不经常膨胀,也不经常空瘪;氧气调节环一般调在80%,一氧化碳中毒的伤员则应调在100%;吸氧不要过早终止,以免伤员站起来后导致昏厥。
(8)氧气的准备:当人工呼吸正常以后,必须及早将备用氧气瓶接在仪器上,打开开关,氧气即直接送入。与氧气接触的器件,必须严格禁油。
60、问答题 计算题:储气柜内储有100m3煤气,温度为293K,压强为106.4KPa,现在要把它压缩装罐,装罐的压强为1013.25KPa,温度为313K。若每罐容积为0.1m3,问可装几罐?(假定1 大气压为 100KPa)
点击查看答案
本题答案:
试题答案
答:可装198罐。
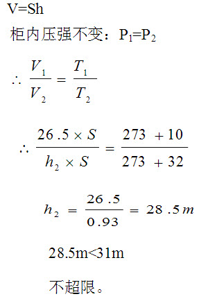
61、问答题 计算题:某煤气柜正常运行极限是31m,早晨气温是10℃,柜位26.5m,中午气温是32℃,在没有进气和出气的情况下,且柜内的压强不变,问到中午时柜位是多少m?是否超过极限?
点击查看答案
本题答案:
试题答案
答:到中午时柜位是28.5m。不超极限。
62、问答题 转炉煤气一氧化碳含量的高低与哪些因素有关?
点击查看答案
本题答案:铁水的碳含量、烟罩距炉口距离的大小、炉口微差压控制情况
本题解析:试题答案铁水的碳含量、烟罩距炉口距离的大小、炉口微差压控制情况、回收时间的长短、回收和放空切换阀的启闭时间的快慢。
63、问答题 燃气的高、低热值有何区别?
点击查看答案
本题答案:高、低热值的差值为水蒸汽的汽化潜热
本题解析:试题答案高、低热值的差值为水蒸汽的汽化潜热
64、填空题 为防止煤气管道雷击和静电产生火源,一般在()m范围内至少设一处接地装置。
点击查看答案
本题答案:300
本题解析:试题答案300
65、填空题 燃料的种类成份、()和传热条件都影响燃烧温度。
点击查看答案
本题答案:燃烧条件
本题解析:试题答案燃烧条件
66、填空题 流体的密度是随着压强与()的变化而改变。
点击查看答案
本题答案:温度
本题解析:试题答案温度
67、问答题 简述接地线的作用?
点击查看答案
本题答案:盲板作业法兰除高炉煤气盲板作业外,其余煤气盲板作业均要
本题解析:试题答案盲板作业法兰除高炉煤气盲板作业外,其余煤气盲板作业均要设接地线。其作用是在盲板作业时法兰两侧始终保持有杂散电流的管道,在法兰开口时不会因断路而产生放电现象打出火花引起火灾事故,接地线其电阻应为零而对地电阻应小于5欧姆。
68、问答题 简述发生触电时的急救?
点击查看答案
本题答案:发生触电,立即切断电源,如果电源断不开,可用干燥的木棍
本题解析:试题答案发生触电,立即切断电源,如果电源断不开,可用干燥的木棍,竹竿等挑开触电器,如果是高压电,立即通知有关部门停电,触电者摆脱高压电源后,伤害不严重的就地休息1~2小时,伤害严重的应进行现场人工呼吸并通知医护人员。
69、填空题 国家卫生标准中CO含量不超过()PPm。
点击查看答案
本题答案:24
本题解析:试题答案24
70、问答题 简述填料补偿器的缺点有哪些?
点击查看答案
本题答案:(1)严密性差,易泄露;
(2)需要经常维护
本题解析:试题答案(1)严密性差,易泄露;
(2)需要经常维护和调整;
(3)禁止在室内使用,并不宜在较高介质的压力下使用。
71、填空题 生活用上下水道、蒸汽管道,不准与()设施长期连通。
点击查看答案
本题答案:煤气
本题解析:试题答案煤气
72、问答题 带煤气抽堵盲板安全注意事项有哪些?
点击查看答案
本题答案:(1)作业区内,不得有行人及机动车辆通过;
本题解析:试题答案(1)作业区内,不得有行人及机动车辆通过;
(2)作业处40米内不准有火源高温物件和其他热源;
(3)炉窑盲板作业前,炉前管道通入蒸汽或氮气,保持正压;
(4)凡距火源较近或焦炉地下窑盲板作业,必须停煤气作业,如停不了煤气可设挡火墙而且作业现场必须保持良好的通风;
(5)作业处裸露的正在运行的蒸汽管道或阀门必须做绝热处理或把蒸汽停了方可作业;
(6)雷雨天禁止盲板作业;
(7)操作人员的防毒面具,必须灵活好使,作业中发现问题应立即撤离煤气区,并报告负责人;
(8)作业法兰距支架较远或管道设有阀门较重时,应设临时支撑,以防反口,造成作业困难;
(9)焦炉煤气或混合煤气和转炉煤气盲板作业时应接好接地线;
(10)作业现场应清洁无障碍物;
(11)大型盲板作业应有救护人员,必要时消防车、救护车及医务人员到现场。
73、问答题 简述自动苏生器的日常检查维护内容是什么?
点击查看答案
本题答案:(1)各附件、备用零件及全部工具齐全;
(2
本题解析:试题答案(1)各附件、备用零件及全部工具齐全;
(2)氧气压力不低来源:91题库网 91eXAm.net于10MPa;
(3)各接头处气密性良好,各旋钮灵活;
(4)吸引装置灵活可靠;
(5)自动肺灵活可靠;
(6)自主呼吸阀正常;
(7)仪器扣锁,背带完整。
74、填空题 盲板作业过程中,部分石棉绳脱落时,应在脱落处的盲板边缘,()加牙,用巴金刀向里塞石棉绳。
点击查看答案
本题答案:斜向
本题解析:试题答案斜向
75、填空题 中等体力劳动条件下使用氧气呼吸器,应根据配带者呼吸量大小将供氧量调到()。
点击查看答案
本题答案:1.1~1.3升/钟
本题解析:试题答案1.1~1.3升/钟
76、问答题 简述弯管补偿器的缺点有哪些?
点击查看答案
本题答案:(1)阻损较大;
(2)外形尺寸大、占用空间
本题解析:试题答案(1)阻损较大;
(2)外形尺寸大、占用空间面积;
(3)不适应于大直径管道。
77、问答题 计算题:试计算在管网煤气压力3000Pa时,作用于管道堵头2m盲板上轴向推力是多少?(不包括盲板自身重量)
点击查看答案
本题答案:
试题答案
答:轴向推力为942Kg·f。
78、问答题 利用焦炉煤气作为城市气源为什么控制氨的含量但不能全部脱除?
点击查看答案
本题答案:氨对燃气管道、设备及燃具能起腐蚀作用,燃烧时产生一氧化
本题解析:试题答案氨对燃气管道、设备及燃具能起腐蚀作用,燃烧时产生一氧化氮和二氧化氮等有害气体,影响人体健康,并造成污染环境。氨能对硫化物产生的酸类物质起中和作用,城市煤气中含有少量的氨有利于保护金属
79、问答题 ABD-200氧气充填泵的操作规程?
点击查看答案
本题答案:(1)将大氧气瓶开关打开一下,以吹刷瓶嘴之 污物,然后接
本题解析:试题答案(1)将大氧气瓶开关打开一下,以吹刷瓶嘴之污物,然后接好。
(2)打开大氧气瓶,听听管路等处是否有漏气之处。
(3)分别接上小氧气瓶,瓶嘴也要打开开关吹刷。
(4)打开开关使输气瓶内氧气自动流入小瓶内,压力平衡为止。
(5)关上集合开关后,启动充填泵充气,直到小瓶内压力达到需要为止,但不得超过20MPa。
(6)打开集合开关,关上小氧气瓶及接瓶开关,由接瓶开关的阀杆放出残余气体,卸下小氧气瓶。
(7)充气完毕后,关闭输气开关,由气水分离器放出冷凝水,关闭电源。
80、填空题 液体的相对密度是相对于()而言。
点击查看答案
本题答案:水
本题解析:试题答案水
81、问答题 计算题:通常将温度在0℃,大气压在1标准大气压下(101.325Kpa)的状态称为标准状态。在标准状态下,1摩尔(mol)气体所占的体积为标准体积,约为22.4升,求标准状态下154克CO2所占体积为多大?此时该气体的密度为多少?
点击查看答案
本题答案:CO2摩尔质量为44g/mol
物质的量=质
本题解析:试题答案CO2摩尔质量为44g/mol
物质的量=质量/摩尔质量
=154/44=3.5(mol)
所以:CO2所占体积=3.5×22.4=78.4(L)密度=质量/体积
=154/78.4
=1.96(g/L)
=1.96kg/m3
答:154克CO2所占体积78.4升,此时该气体的密度为1.96kg/m3。
82、填空题 血液中输送氧气的物质是()。
点击查看答案
本题答案:血红素
本题解析:试题答案血红素
83、问答题 什么是煤气爆炸?
点击查看答案
本题答案:煤气的爆炸是煤气的瞬时燃烧并产生高温、高压的冲击波,从
本题解析:试题答案煤气的爆炸是煤气的瞬时燃烧并产生高温、高压的冲击波,从而造成强大的破坏力,这就叫做煤气爆炸。
84、填空题 设备检修,放散煤气时要注意放散高度、()、气压等,以免发生大面积中毒。
点击查看答案
本题答案:风向
本题解析:试题答案风向
85、填空题 流体在管道内流动时,靠近管壁流速()。
点击查看答案
本题答案:最小
本题解析:试题答案最小
86、问答题 焦炉煤气中硫化物包括哪几部分?
点击查看答案
本题答案:焦炉煤气中的硫化物分有机硫和无机硫两部分。
本题解析:试题答案焦炉煤气中的硫化物分有机硫和无机硫两部分。
87、问答题 叙述空气充填泵使用维护规程安全注意事项?
点击查看答案
本题答案:(1)空气泵必须水平安装,附近有明火时禁止开机;
本题解析:试题答案(1)空气泵必须水平安装,附近有明火时禁止开机;
(2)室内确保通风良好,无灰尘;
(3)每次操作前必须检查油位,第一次操作前或修理后至少打开冷凝阀开机5分钟,以保证升压前各部件适当的润滑;
(4)为防止充气瓶的压缩空气中CO2含量增加充气过程中,不能中断超过10分钟;
(5)禁止带压开启充气阀,以防发生高压气流伤害;
(6)操作空气泵前,必须进行泄压,方能启动;
(7)经常检查整个系统是否泄漏;
(8)每工作1000小时拆开阀门检查,必要更换;
(9)过滤系统最大允许操作压力范围330Pa,最大使用次数4500次,鉴于过滤器外壳的理论使用寿命为15750小时(225Pa的空气压缩机没有必要作记录);
(10)要定时转动进行过滤器,转动三次后必须更换。
88、问答题 转炉煤气的主要性质是什么?
点击查看答案
本题答案:转炉煤气无色、无味,易燃、易爆,有剧毒,密度为1.36
本题解析:试题答案转炉煤气无色、无味,易燃、易爆,有剧毒,密度为1.368Kg/Nm3,热值5859~7100KJ/m3,爆炸范围18.22%~83.22%。
89、问答题 为避免发生煤气事故,明火如何预防?
点击查看答案
本题答案:(1)煤气区域应挂牌标志,制定健全的动火安全管理制度;
本题解析:试题答案(1)煤气区域应挂牌标志,制定健全的动火安全管理制度;
(2)在煤气区域,凡是动火作业人员都必须办理动火申请、审批手续,并经煤气防护车间专业人员审批合格后,签发动火证方可动火;
(3)加强煤气区域的巡回检查;
(4)带煤气抽堵盲板作业前,沿线检查,确认无明火。
90、填空题 人体静电在接触导电体时,产生静电火花,足以点燃焦炉煤气。因此,在带煤气抽堵盲板作业前应将身体 ()。
点击查看答案
本题答案:静电放掉
本题解析:试题答案静电放掉
91、问答题 在正常运行的煤气设备上的动火审批?
点击查看答案
本题答案:(1)如有条件在动火部位附近应安装压力表,设专人看管或
本题解析:试题答案(1)如有条件在动火部位附近应安装压力表,设专人看管或确定压力表观察点动火设备内的煤气压力必须保持正常稳定,压力不得低于500Pa,如设备内煤气压力波动较大,压差下限有时含低于500Pa,应立即停止动火,待压力恢复正常后,再动火;
(2)直接于煤气设备上动火焊接时,只准用电焊焊接不准用气焊;
(3)在煤气管道末端盲肠出或煤气不流动的设备上动火,必须对其内的煤气进行取样分析确认是纯煤气无为后方可动火,但最好是在煤气流动的情况下动火最好;
(4)在负压设备及管道上动火,必须在煤气来源不间断抽风机.鼓风机正常运行。管道及设备严密煤气纯净的情况下方可动火。但动火时不得将管壁捅漏,防止吸入空气引起爆炸,如条件允许在好在动火时向设备或管道通入适量的蒸汽或氮气;
(5)特殊情况下煤气感到及设备动火(如煤气发生量不正常,煤气压力低于规定等)要采取严密的组织措施和安全措施,适当通入蒸或氮气以保持管道正常压力,电焊设施。电源开关要与压力表靠近,以便出现紧急情况立即切断电源,停止动火作业。
92、问答题 安装截流孔板时有哪些要求?
点击查看答案
本题答案:(1)应严格注意截流件方向(如孔板的锥形部分应朝管道的
本题解析:试题答案(1)应严格注意截流件方向(如孔板的锥形部分应朝管道的下游方向);
(2)节流件应装在较长的直管线上,并应注意节流件前面的直管线长度不小于10~60Dg,后面直线管长度不小于5Dg;
(3)节流件的通流孔应与管道同心,端面应与管道中心线垂直,不得有偏心、偏斜现象。
93、问答题 计算题:向煤气设备内送转炉煤气置换空气后,要动火检修该设备,经取样做CO含量分析,CO含量达到多少PPm以上时方可动火。(转炉煤气中CO含量按56.7~61.2%计算,转炉煤气爆炸范围按18.22-83.22%计算)
点击查看答案
本题答案:61.2%×83.22%=50.9%
本题解析:试题答案61.2%×83.22%=50.9%
=509000PPm
答:该设备内CO含量大于509000PPm以上方可点火。
94、问答题 我厂高炉煤气除尘工艺有哪几种?
点击查看答案
本题答案:双文洗涤系统、干法除尘系统、环缝洗涤系统。
本题解析:试题答案双文洗涤系统、干法除尘系统、环缝洗涤系统。
95、问答题 一般加热炉停送煤气安全注意事项?
点击查看答案
本题答案:(1)停送煤气系特殊危险作业,必须事先制定停送煤气方案
本题解析:试题答案(1)停送煤气系特殊危险作业,必须事先制定停送煤气方案。所有参加作业人员应经严格的安全教育,并听从统一指挥;
(2)停煤气时,烧嘴没有全部关严,炉内没有止火时,禁止切断煤气(即关止分配支管闸阀)以防回火爆炸;
(3)送煤气点火作 业时,应严格按规程操作并且炉门、烧嘴附近不准有闲人;
(4)点火应由末端烧嘴开始;
(5)当第一次点火没有点着时,应立即将烧嘴关止,查明原因并使炉内通风处理一段时间后方可重新点火;
(6)点火作业应在煤气压力稳定时进行。
96、问答题 理想可压缩流体沿流线恒定流动的伯努力方程说明什么?
点击查看答案
本题答案:在沿一条流线上单位重量流体所具有的位能、压能、和动能三
本题解析:试题答案在沿一条流线上单位重量流体所具有的位能、压能、和动能三者之间可以转化,但三者之和为常数。
97、问答题 计算题:煤气设备施工完成后,做气密性试验,开始的温度t1=23℃,压强P1=19.6KPa,两小时后,温度t2=25℃,压强P2=18.5KPa。求该设备的每小时泄漏率?(假定1大气压为100KPa)
点击查看答案
本题答案:
试题答案
答:每小时泄漏率为0.79%。
98、问答题 什么叫爆炸下限?
点击查看答案
本题答案:当可燃气体含量一直增加到不能形成爆炸混合物时的含量称为
本题解析:试题答案当可燃气体含量一直增加到不能形成爆炸混合物时的含量称为爆炸上限。
99、问答题 计算题:已知某种煤气所含各可燃组分的百分比为:CH4:20%;H23:60%;CO:6%,求此种煤气燃烧时所需的理论空气量?
点击查看答案
本题答案:
试题答案
答:此种煤气燃烧时所需的理论空气量为3.5m3空气/m3煤气。
100、问答题 简述氢气着火应采取的措施?
点击查看答案
本题答案:(1)切断电源;
(2)冷却、隔离、防止火灾
本题解析:试题答案(1)切断电源;
(2)冷却、隔离、防止火灾扩大;
(3)保持氢气系统正压状态,以防回火。
题库试看结束后
微信扫下方二维码即可打包下载完整版《★煤气输送工考试》题库
手机用户可保存上方二维码到手机中,在微信扫一扫中右上角选择“从相册选取二维码”即可。
题库试看结束后微信扫下方二维码即可打包下载完整版《煤气输送工考试:煤气输送工高级工》题库,分栏、分答案解析排版、小字体方便打印背记!经广大会员朋友实战检验,此方法考试通过率大大提高!绝对是您考试过关的不二利器!
手机用户可保存上方二维码到手机中,在微信扫一扫中右上角选择“从相册选取二维码”即可。
微信搜索关注"91考试网"公众号,领30元,获取公务员事业编教师考试资料40G