手机用户可
保存上方二维码到手机中,在
微信扫一扫中右上角选择“从
相册选取二维码”即可。
1、填空题 根据准地转位势倾向方程,高空槽脊系统的移动是由()平流造成的,而高空槽脊系统的发展是由()平流造成的。
点击查看答案
本题答案:涡度;温度
本题解析:试题答案涡度;温度
2、问答题 说明静力平衡大气中气压场与温度场之间的关系、等压面高度与温度的关系
点击查看答案
本题答案:(1)气压场与温度场之间的关系如下:在铅直方向,等压面
本题解析:试题答案(1)气压场与温度场之间的关系如下:在铅直方向,等压面之间的厚度完全决定于两等压面之间的温度铅直分布。
(2)等压面的高度与平均温成正比,平均温度越高等压面越高,反之等压面高度愈低。
3、问答题 地转风有什么特征?
点击查看答案
本题答案:1、在中纬度,自由大气的大尺度系统中,地转平衡是近似成
本题解析:试题答案1、在中纬度,自由大气的大尺度系统中,地转平衡是近似成立的。地转风与实际风相差很小。在低纬度地区因为地转偏向力较小,这种近似平衡不能成立的。
2、地转风速大小与水平气压梯度力大小成正比。直观地讲,等压线较密集的地区地转风(或近似地讲实际风)的风速也较大。这可成为分析天气图的理论依据,即实际风速较大的地区等压(高)线应该分析的较为密集一些。
3、地转风与等压线平行,在北半球背风而立,高压在右,低压在左。因此,在低压中,风呈逆时针旋转,称这个系统为气旋。而高压中,风呈顺时针旋转,称这个系统为反气旋。这可成为分析天气图的理论依据,即当实际风向分布呈弯曲时,等压(高)线分析也应该随之弯曲。
在南半球因地转偏向力方向与北半球相反,因而背风而立,高压在左,低压在右。
4、问答题 什么是等高面图,什么是等压面图?采用等压面图分析气压形势的依据是什么?
点击查看答案
本题答案:(1)在一张特制的地图(称天气底图)上,填写各测站上空
本题解析:试题答案(1)在一张特制的地图(称天气底图)上,填写各测站上空某一确定高度上探测到气压值,并按一定的气压间隔(如间隔2。5hpa或间隔5hpa)分析等压线,便得到一张等高面气压形势图,即等高面图。实际天气预报业务工作中只分析海平面(z=0)气压形势图,并俗称地面图 。
(2)等压面分析是以一个确定的等压面作为分析对象。将不同高度的等高面与空间一确定的等压面相截,相截的曲线就是等压面上高度相等的连线-----等高线,将各等高线投影在天气底图上,这就是该等压面的绝对形势图,通常称等压面图。
(3)采用等压面分析气压形势的依据是:大气在相当程度上满足静力平衡,在此平衡基础上,气压和高度之间存在确定的函数关系,所以等压面上存在的高度形势与等高面上描绘的气压形势有很好的对应关系。
5、填空题 根据准地转理论,平流过程总是对地转平衡和静力平衡起()作用,而叠置在准地转水平环流上的二级环流总是对地转平衡和静力平衡起()作用。
点击查看答案
本题答案:破坏;维持
本题解析:试题答案破坏;维持
6、填空题 斜压适应过程的物理机制是(),适应的速度主要依赖于()和()。
点击查看答案
本题答案:重力惯性内波对初始非地转扰动能量的频散;重力惯性内波的群速;
本题解析:试题答案重力惯性内波对初始非地转扰动能量的频散;重力惯性内波的群速;初始非地转扰动的 水平尺度和强度
7、问答题
在静力平衡条件下仍存在铅直速度WR,假设运动是绝热的,是证明WR的诊断方程为:

点击查看答案
本题答案:
试题答案

8、问答题 为什么地球不可能是一个绝对球体?
点击查看答案
本题答案:惯性离心力可分解为两个相互垂直的分力。一个分立部分抵消
本题解析:试题答案惯性离心力可分解为两个相互垂直的分力。一个分立部分抵消了地球引力,一个分立与地表面相切指向赤道。后一个分立促使物体向赤道方向运动。在这个分立的长久作用下,便在一定程度上决定了地球球壳的形状,使地球在赤道处隆起,地球成为扁平的椭球体。
9、问答题 大气运动受到那些力的作用?
点击查看答案
本题答案:受到气压梯度力、地心引力、摩擦力、惯性离心力和地转偏向
本题解析:试题答案受到气压梯度力、地心引力、摩擦力、惯性离心力和地转偏向(科里奥利)力等作用。其中气压梯度力、地心引力、摩擦力是真实力,或称牛顿力。而惯性离心力和地转偏向力是‚视示力‛,是虚拟的力。
10、填空题 正压不稳定扰动发展的能量来自(),斜压不稳定扰动发展的能量来自()。
点击查看答案
本题答案: 基本纬向气流的平均动能;有效位能的释放
本题解析:试题答案基本纬向气流的平均动能;有效位能的释放
11、问答题 如何理解等压面图上分析的等高线也是等压线?如何理解等压面图上分析的等温线,也是等位温线、等密度线、等饱和比湿线。
点击查看答案
本题答案:(1)大气在相当程度上满足静力平衡,在此平衡基础上,气
本题解析:试题答案(1)大气在相当程度上满足静力平衡,在此平衡基础上,气压和高度之间存在确定的函数关系,所以等压面上存在的高度形势与等高面上描绘的气压形势有很好的对应关系。
(2)位温公式的定义,
(3)状态方程
(4)饱和比湿的定义
12、问答题 什么是力管?试说明它的动力作用?
点击查看答案
本题答案:斜压大气中等压面和等比容面试相交的,间隔一个单位的等压
本题解析:试题答案斜压大气中等压面和等比容面试相交的,间隔一个单位的等压面和等比容面相交割成的管子,称作单位压容力管,简称力管。
由于力管的存在,在环线上气压梯度力分布不均匀,这种不均匀就相当于有一力矩作用于空气团。于是,空气团就有了转动的趋势,产生了环流。促使密度较小的空气微团由高压流向低压,而密度较大的空气微团趋于由低压流向高压。
13、问答题 第一类和第二类准地转运动出现的条件是什么?各有何特点?
点击查看答案
本题答案:第一类准地转运动出现的条件是,这类运动的水平尺度小于地
本题解析:试题答案第一类准地转运动出现的条件是,这类运动的水平尺度小于地球半径,相当于天气尺度运动。其铅直速度量级远比由连续方程分析出来的要小;水平散度比涡度小一个量级以上,运动具有显著的涡旋性质;运动的水平尺度、铅直尺度和静力稳定度是相互依赖的,层结是高度稳定的。
第二类准地转运动出现的条件是或,其水平尺度与地球半径相当,这类准地转运动指的是中纬度行星尺度运动,其铅直速度的量级仅与水平速度尺度成正比,与水平尺度无关;水平散度与涡度的量级相同;涡度方程中散度与项基本相平衡,运动具有准定常性;静力稳定度与水平速度尺度无关。
14、名词解释 斜压不稳定
点击查看答案
本题答案:发生在具有垂直切变基本纬向气流中的长波不稳定称为斜压不
本题解析:试题答案发生在具有垂直切变基本纬向气流中的长波不稳定称为斜压不稳定,长波的斜压不稳定与垂直风切变和波长有关,最不稳定波长约为。扰动发展的能量主要来自来自有效位能的释放,斜压不稳定是中纬度天气尺度扰动发生发展的主要物理机制。
15、问答题 曲率项力怎样产生的?如果没有地球自转,此力存在不存在?
点击查看答案
本题答案:由于地球的球面性引起的;若没有地球旋转,此力不存在。<
本题解析:试题答案由于地球的球面性引起的;若没有地球旋转,此力不存在。
16、名词解释 波包迹
点击查看答案
本题答案:在实际大气中,一个瞬变扰动可以看成是由许多不同振幅、不
本题解析:试题答案在实际大气中,一个瞬变扰动可以看成是由许多不同振幅、不同频率的简谐波叠加而成的,这种合成波称为波群或波包。这种合成波列振幅的包络线称为波包迹,其传播的速度称为群速。
17、问答题 物理上什么样的力是位势力(或保守力)?位势力有哪些主要的性质?
点击查看答案
本题答案:保守力:在物理系统里,假若一个粒子,从起始点移动到终结
本题解析:试题答案保守力:在物理系统里,假若一个粒子,从起始点移动到终结点,由于受到作用力,所做的功,不因为路径的不同而改变。则称此力为保守力。假若一个物理系统里,所有的作用力都是保守力,则称此系统为保守系统。
由于保守力所做的功与运动物体所经过的路径无关,因此,如果物体沿闭合路径绕行一周,则保守力对物体所做的功恒为0。因为保守力的功具有这样的特点,所以在只有保守力作用在物体上的情况下可以定义势能(位能)。
18、问答题 惯性离心力是怎样产生的?如果没有地球旋转,此力存在不存在?
点击查看答案
本题答案:处在旋转坐标系中产生的;若没有地球旋转,此力不存在。<
本题解析:试题答案处在旋转坐标系中产生的;若没有地球旋转,此力不存在。
19、填空题 定常情况下,埃克曼层中的三力平衡是指()、()、和()之间的平衡。
点击查看答案
本题答案:水平气压梯度力;科里奥利力;湍流粘性应力
本题解析:试题答案水平气压梯度力;科里奥利力;湍流粘性应力
20、名词解释 大气行星边界层
点击查看答案
本题答案:接近地球表面的厚度约为1-1.5km的一层大气称为大气
本题解析:试题答案接近地球表面的厚度约为1-1.5km的一层大气称为大气行星边界层。边界层大气直接受到下垫面的热力作用和动力作用,具有强烈的湍流运动特征和不同于自由大气的运动规律。
21、问答题 对于正压适应过程,适应结果与初始非地转扰动的水平尺度有何关系。
点击查看答案
本题答案:1.初始非地转扰动的水平尺度越越大,完成适应所需的时间
本题解析:试题答案1.初始非地转扰动的水平尺度越越大,完成适应所需的时间越长。
2.若初始非地转扰动的水平尺度远大于临界水平尺度,主要是风场向气压场适应,若初始非地转扰动的水平尺度远小于临界水平尺度,主要是气压场向风场适应。
22、问答题 地球旋转对大气运动有哪些动力作用?
点击查看答案
本题答案:产生惯性离心力,相对于地球有运动的大气还受科里奥利力作
本题解析:试题答案产生惯性离心力,相对于地球有运动的大气还受科里奥利力作用。
23、问答题 作尺度分析,为什么不从原始方程出发,而应用以静止大气为背景的方程组?
点击查看答案
本题答案:静止、定常的大气基本状态可视为大气与外界进行热交换形成的,很
本题解析:试题答案静止、定常的大气基本状态可视为大气与外界进行热交换形成的,很少受大气内部扰动的影响,所以表征基本状态的基本热力学变量尺度和标高可作为环境因子,是已知的。可得出其它待确定的尺度参数,从而分析不同类型的基本性质,从而找到对基本方程组取某些近似条件。
24、问答题 如何将运动方程组进行无量纲化?
点击查看答案
本题答案:利用尺度分析中物理量的特征尺度,引进无量纲变量,将运动
本题解析:试题答案利用尺度分析中物理量的特征尺度,引进无量纲变量,将运动学方程组进行无量纲化。
25、问答题
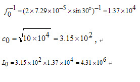
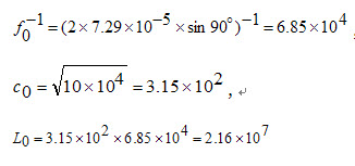
g,f0,H可视为表征大气运动的环境参数,由此可以确定三个特征尺度:

这三个特征尺度与运动无关,完全由环境参数决定,试计算30°N,45°N,60°N,90°N处的L0, 并计算c0。
点击查看答案
本题答案:30°N处,
试题答案30°N处,

45°N处,

60°N处,

90°N处,

26、问答题 惯性离心力与科里奥利力有哪些异同点?
点击查看答案
本题答案:都是在旋转参考系中的视示力,惯性离心力恒存在,而大气相
本题解析:试题答案都是在旋转参考系中的视示力,惯性离心力恒存在,而大气相对于地球有运动时才会产生科里奥利力。
27、问答题 估计在大尺度运动系统中fv和f̃w在哪个纬度带有相同的量级(可取二者之比在0.5~5之间作为同一量级的表征)。
点击查看答案
本题答案:
试题答案
28、问答题 简述大气运动在空间和时间上的尺度特征?(即大气运动的尺度分类?)
点击查看答案
本题答案:大气运动在空间和时间上都具有很宽的尺度谱,即在水平空间
本题解析:试题答案大气运动在空间和时间上都具有很宽的尺度谱,即在水平空间上有几千公里尺度的,如寒潮天气的冷空气运动,也称为大尺度运动或天气尺度运动;也有几百公里尺度、几十公里尺度的空气运动,它们分别被称为次天气尺度和中尺度运动;也有只有几公里尺度的,如雷雨冰雹天气的空气运动,也称为小尺度运动;当然,还有更小尺度的,如乱流和湍流运动。在时间尺度(即生命史周期)上,大尺度运动通常能保持几天到十几天的生命期;而中小尺度的生命期通常只有十几小时到几小时。
29、名词解释 准地转近似
点击查看答案
本题答案:准地转近似是为了合理地描写中纬天气尺度的准地转运动而引入的一
本题解析:试题答案准地转近似是为了合理地描写中纬天气尺度的准地转运动而引入的一种动力学近似,其含义为除散度项外,方程中的水平速度和涡度都取为地转风和地转涡度。取准地转近似后得到的准地转方程组既突出了中纬度大尺度运动的的准地转性质,又保留了维持准地转平衡所必须的水平辐合辐散,而且很好地保持了运动的若干整体性质,因此能够更为合理地描写中纬大型天气演变过程。
30、问答题 为什么根据运动的水平尺度对大气运动进行分类?
点击查看答案
本题答案:大气运动的特征与水平尺度有密切关系,依据水平对运动进行
本题解析:试题答案大气运动的特征与水平尺度有密切关系,依据水平对运动进行分类是由科学基础的。
31、问答题 为什么常根据运动的水平尺度对大气运动进行分类?
点击查看答案
本题答案:基于以下三方面的原因常根据运动的水平尺度对大气运动进行
本题解析:试题答案基于以下三方面的原因常根据运动的水平尺度对大气运动进行分类:
(1)地球大气垂直厚度远小于水平长度;
(2)具有气象意义的运动系统的场变量的在水平方向上的变动尺度差别很大,可达几个数量级,并且大气运动的特征与水平尺度有密切关系;
(3)大气某些变量在垂直方向的尺度依赖于变量的水平尺度,比如速度的垂直尺度。
32、问答题 试阐述对大气运动方程组进行简化的必要性与可能性?
点击查看答案
本题答案:大气中存在各种不同尺度的运动,虽然各种不同尺度运动满足
本题解析:试题答案大气中存在各种不同尺度的运动,虽然各种不同尺度运动满足一个基本方程组,但不同尺度的运动有不同的特点,决定运动基本性质的主要因子也不一样。因此,当我们研究某一特定尺度运动时,只有抓住决定该尺度运动性质的主要因子,忽略次要因子,才能把握运动的基本性质。从数学观点来看,就是要适当地简化大气运动基本方程组,保留各方程中的主要项,略去次要项,使得简化后的方程组只反映决定某类尺度运动过程基本性质的那些主要因子之间的定量关系和相互作用,排除其它次要因子的影响。如果简化得当,不但便于数学处理。而且由简化后的方程组所得的结论简单,物理意义也清楚。由此可见,简化基本方程组是完全必要的、也是可能的。
33、填空题 大气中两种存在两种最基本的动力学过程,即()过程和()过程。
点击查看答案
本题答案:地转适应;准地转演变
本题解析:试题答案地转适应;准地转演变
34、问答题 在什么情况下,基本方程中可以不考虑地球曲率的影响?
点击查看答案
本题答案:在中低纬度局部地区的大气运动中,运动方程中的所有曲率项
本题解析:试题答案在中低纬度局部地区的大气运动中,运动方程中的所有曲率项都可以略去。
35、填空题 在大气行星边界层中,近地面层又称为(),上部摩擦层又称为()。
点击查看答案
本题答案:常值通量层;埃克曼层
本题解析:试题答案常值通量层;埃克曼层
36、问答题 什么是环流?
点击查看答案
本题答案:流场中某一有向闭合物质曲线上的速度切向分量沿该闭合物质
本题解析:试题答案流场中某一有向闭合物质曲线上的速度切向分量沿该闭合物质曲线的线积分,定义为速度环流,或简称为环流。
37、名词解释 拉姆波
点击查看答案
本题答案:受地球旋转作用影响,在静力平衡大气中只沿水平方向传播的
本题解析:试题答案受地球旋转作用影响,在静力平衡大气中只沿水平方向传播的特殊声波,称为拉姆波。与纯水平声波不同,拉姆波是一种水平尺度较大的频散快波。拉姆波属于外波型波动,其扰动气压随高度按指数减小,但扰动速度随高度几乎不改变。
38、问答题
来源:www.91exam.net 什么是中纬度β平面近似?取β平面近似的条件是什么?取β平面近似有什么好处?
点击查看答案
本题答案:(1)在中纬度地区,将f展开成泰勒级数,则有f=f0+
本题解析:试题答案(1)在中纬度地区,将f展开成泰勒级数,则有f=f0+βy+(高次项)
①当f处于系数地位不被微商时,取f≈f0;
②当f处于对求微商地位时,取df/dy=β=常数。
这种对f的近似处理称为中纬度β平面近似。
(2)取β平面近似的条件是运动的径向尺度L能够满足科氏力参数f在径向作Taylor级数展开。
39、问答题 由相对环流定理中惯性项(即面积改变项)引起环流加速的物理过程有哪些?
点击查看答案
本题答案:环线所包围的面积的改变和平均纬度改变都可引起相对环流发生改变
本题解析:试题答案环线所包围的面积的改变和平均纬度改变都可引起相对环流发生改变。环线所包围面积的改变与水平辐合辐散有关,纬度的改变与流体的南北向运动有关。
40、问答题 重力位势与重力位能这两个概念有何差异?引进重力位势这个概念有何好处?
点击查看答案
本题答案:重力位势:重力位势Φ表示移动单
本题解析:试题答案重力位势:重力位势Φ表示移动单位质量空气微团从海平面(Z=0)到Z高度,克服重力所做的功。
重力位能:重力位能可简称为位能。重力场中距海平面z高度上单位质量空气微团所具有的位能为Φ=gz。引进重力位势后,g等重力位势面(等Φ面)相垂直,方向为高值等重力位势面指向低等重力位势面,其大小由等重力位势面的疏密程度来确定。所以,重力位势的空间分布完全刻画除了重力场的特征。
41、填空题 根据准地转斜压两层模式的分析结果,影响斜压不稳定的主要因子是()、()、()和()。
点击查看答案
本题答案:波长;垂直风切变;静力稳定度;效应
本题解析:试题答案波长;垂直风切变;静力稳定度;效应
42、问答题 如何认识不考虑重力在水平面上的分量?
点击查看答案
本题答案:因地心引力与重力的夹角非常小(不到0.1度),在水平方
本题解析:试题答案因地心引力与重力的夹角非常小(不到0.1度),在水平方向的分量很小,以致我们就认为重力指向地心。
43、问答题 б坐标系的优点有哪些?有什么不足之处?
点击查看答案
本题答案:(1)坐标的优点:坐标实际上是一种修正的p坐标系,它的
本题解析:试题答案(1)坐标的优点:坐标实际上是一种修正的p坐标系,它的突出优点是下边界面为的坐标面,边界变得十分简单(为齐次边界条件)。
(2)坐标的不足:坐标中的水平运动方程变得复杂,气压梯度变为两项之差,在地形陡峭的地方是两个小量的差,难于计算准确。
来源:91exam .net44、问答题 何谓尺度分析方法?
点击查看答案
本题答案:根据天气实践经验知:大气中出现有各种不同尺度的运动。不
本题解析:试题答案根据天气实践经验知:大气中出现有各种不同尺度的运动。不同尺度的运动,其动力学和热力学特征是不同的。所谓尺度分析方法,就是对不同类型运动,通过观测资料,给出各种尺度运动物理量的特征值,来估计出基本方程中各项数量级,找出主要因子,略去次要因子,使方程得以简化,以利数学处理,也有利于揭示某种运动的本质特征。
45、问答题 何谓“P”坐标系?及其优缺点?
点击查看答案
本题答案:已知局地直角坐标系其坐标轴采用(x,y,z),其中的垂
本题解析:试题答案已知局地直角坐标系其坐标轴采用(x,y,z),其中的垂直坐标以几何高度z来表示,故也称它为”z”坐标系。由于大气的垂直高度与气压有很好的静力学关系,可用气压p来表示垂直坐标,即空间点的位臵用(x,y,p)坐标来表示,这种坐标系称为“P”坐标系。
它有很多优点:气象上用的天气图,除地面图外,高空图都是等压面图,即是一种“P”坐标图,由于等压面相对水平面的坡度很小,因此它又具有准水平面的特点。在“P”坐标系中,通过静力学关系,可得到用等压面上的位势高度场特征来表示气压场的特征,气压梯度力成为线性项,形式简单。此外,运动方程组可少了密度这个变量,连续方程也变的较为简单,p坐标系用于研究大尺度运动较为合适。
其缺点是:由于采用了静力学近似关系,所以p坐标系运动方程组不能用于研究存在非静力平衡的运动现象,如某些小尺度运动。此外,p坐标系的缺点是难以正确地给出下边界条件。
46、问答题
对于中纬度大尺度运动,证明
点击查看答案
本题答案:
试题答案
47、填空题 根据准地转方程,正涡度平流随高度增加,有利于产生()运动,冷平流有利于产生()运动。
点击查看答案
本题答案:上升;下沉
本题解析:试题答案上升;下沉
48、问答题 建立p坐标系的物理基础是什么?
点击查看答案
本题答案:建立p坐标系的物理基础是静力平衡。
本题解析:试题答案建立p坐标系的物理基础是静力平衡。
49、问答题 试从物理上说明埃克曼抽吸产生的原因和所起的作用。
点击查看答案
本题答案:由于湍流摩擦作用,埃克曼层中风有指向低压一侧的分量,在
本题解析:试题答案由于湍流摩擦作用,埃克曼层中风有指向低压一侧的分量,在低压上空产生辐合上升运动,同理在高压上空产生辐散下沉运动,这种上升下沉运动在边界层顶达到最强,这种现象称为称为埃克曼抽吸。埃克曼抽吸效应与一般湍流扩散过程相比,是使地转涡旋衰减的更有效的机制。
50、问答题 什么是运动的尺度?什么是尺度分析法?对大气运动方程组系统进行尺度分析的目的是什么?
点击查看答案
本题答案:各物理场变量“具有代表意义的量值&rdqu
本题解析:试题答案各物理场变量“具有代表意义的量值”称之为物理量场的特征值,即尺度。
尺度分析法是依据表征某类运动系统的运动状态和热力状态的各物理量的特征值,估计大气运动方程中各项量级大小的一种方法。
根据尺度分析的结果,结合物理上的考虑,略去方程中量级较小的项,便可得到简化方程,并可分析运动系统的某些基本性质。
51、问答题 利用准地转两层斜压模式讨论斜压不稳定得到哪些主要结论?(试从斜压不稳定与波长、垂直风切变、静力稳定度、因子的关系加以说明)
点击查看答案
本题答案:长波的斜压不稳定主要决定于波长和垂直风切变,只有波长大
本题解析:试题答案长波的斜压不稳定主要决定于波长和垂直风切变,只有波长大于临界波长的波动才可能产生斜压不稳定,最不稳定波长约为,垂直风切变需要达到一定的强度才可能产生斜压不稳定,垂直风切变越强越有利于产生斜压不稳定。由于斜压不稳定波的临界波长随静力稳定度的增大而增大,因而静力稳定度对较短波长的波动具有稳定作用。此外β效应对较长波长的波动具有很强的稳定作用。
52、填空题 在埃克曼层中,风速随高度增加(),风向随高度增加()。
点击查看答案
本题答案:增大;顺转
本题解析:试题答案增大;顺转
53、名词解释 旋转减弱
点击查看答案
本题答案:在旋转大气中,由埃克曼层摩擦辐合强迫造成的二级环流大大
本题解析:试题答案在旋转大气中,由埃克曼层摩擦辐合强迫造成的二级环流大大加强了行星边界层与自由大气之间的动量交换,使得自由大气中的涡旋系统强度快速减弱,这种现象称为旋转减弱。
54、问答题 研究大气运动变化规律为什么选用旋转坐标系?旋转参考系与惯性参考系中的运动方程有什么不同?
点击查看答案
本题答案:相对于惯性参考系中的运动方程而言,旋转参考系中的运动方
本题解析:试题答案相对于惯性参考系中的运动方程而言,旋转参考系中的运动方程加入了视示力(科里奥利力、惯性离心力)。
55、问答题 如何理解大气中短时期的热力过程可视为绝热过程?
www.91eXam.net点击查看答案
本题答案:在空气运动的短期变化过程中,可以认为空气微团与外界无热
本题解析:试题答案在空气运动的短期变化过程中,可以认为空气微团与外界无热量交换,这就是绝热过程。
56、问答题 估计对于典型的龙卷风运动,水平运动方程和铅直运动方程中各项的量级,取 L=102m D=103m U=102m/s W=10m/s τ=10s ∆P=104Pa 说明此种情况下静力平衡能否成立。
点击查看答案
本题答案:
试题答案
由尺度分析结果可得,
不成立。故而对于典型龙卷风运动,静力平衡不成立。
57、问答题 何谓局地直角坐标系?(即局地直角坐标系的取法及其特点?)
点击查看答案
本题答案:所谓局地直角坐标系是指:这个直角坐标系的原点(或称0点
本题解析:试题答案所谓局地直角坐标系是指:这个直角坐标系的原点(或称0点)设在地球表面某一地点,则其三个坐标轴(x,y,z)中x轴指向这个地点水平面上的东方;y轴指向这个地点水平面上的北方;z轴指向这个地点的天顶方向,与球坐标相同。因此这个坐标系的三个坐标轴的指向也随地点不同而不同。可以认为它是球坐标系中略去球面曲率影响后的简化形式。这个坐标系的优点在于重力只出现在z轴方向,使运动方程变得比较简单些。
58、问答题 支配大气运动状态和热力状态的基本物理定律有哪些?大气运动方程组一般有几个方程组成?哪些是预报方程?哪些是诊断方程?
点击查看答案
本题答案:基本物理定律是牛顿运动定律、质量守恒定律、热力学能量守
本题解析:试题答案基本物理定律是牛顿运动定律、质量守恒定律、热力学能量守恒定律、气体实验定律;大气运动方程组一般有六个方程组成(三个运动方程、连续方程、热力学能量方程、状态方程);若是湿空气还要加一个水汽方程。运动方程、连续方程、热力学能量方程是预报方程,状态方程是诊断方程。
59、问答题 位势高度的量纲是什么?因位势米与几何米在数值上差不多,能否写成1gpm≈1m?
点击查看答案
本题答案:位势高度的量纲是L2T-2;位势高度的本质是
本题解析:试题答案位势高度的量纲是L2T-2;位势高度的本质是重力位势,而不是高 91ExAm.net度。
60、问答题 什么是运动的尺度?什么是尺度分析方法?
点击查看答案
本题答案:大气任何一类运动系统中,表征大气运动状态和热力状态的各
本题解析:试题答案大气任何一类运动系统中,表征大气运动状态和热力状态的各物理场变量,其空间分布是不均匀的,也存在时间变化,这种时空变化都存在一定的范围。为此可以用各物理场变量具有代表意义的量值来表示该系统的基本特征,称之为物理场变量的特征值,这也就是物理场变量的尺度。物理场变量的尺度,只是从量级大小这个意义上来表征系统物理属性特征的。
尺度分析法是依据表征某类运动系统的运动状态和热力状态各物理量的特征值,估计大气运动方程中各项量级大小的一种方法。根据尺度分析的结果,结合物理上的考虑,略去方程中量级较小的项,便可得到简化方程,并可分析运动系统的某些基本性质。
61、问答题 什么是地转适应过程?什么是准地转演变过程?简述这两种过程的基本特征。
点击查看答案
本题答案:地转平衡态遭到破坏后,通过风场和气压场之间的相互调整和
本题解析:试题答案地转平衡态遭到破坏后,通过风场和气压场之间的相互调整和相互适应,重新建立起新的地转平衡态的过程,称作地转适应过程。准地转平衡态的缓慢变化(演变)过程,称作准地转演变过程。地转适应过程是一种快过程,位势运动显著,运动基本上是线性的;准地转演变过程是一种慢过程,运动具有准涡旋性质,运动是非线性的。
62、填空题 正压适应过程的物理机制是(),适应的速度主要依赖于()和()。
点击查看答案
本题答案:重力惯性外波对初始非地转扰动能量的频散;重力惯性外波的群速;
本题解析:试题答案重力惯性外波对初始非地转扰动能量的频散;重力惯性外波的群速;初始非地转扰动的水平尺度和强度
63、问答题 什么是大气行星边界层?大气行星边界层可分为几个层次?说明各层次的主要特点。
点击查看答案
本题答案:接近地球表面的厚度约为1-1.5km的一层大气称为大气
本题解析:试题答案接近地球表面的厚度约为1-1.5km的一层大气称为大气行星边界层。边界层大气直接受到下垫面的热力作用和动力作用,具有强烈的湍流运动特征和不同于自由大气的运动规律。大气行星边界层自下而上分为贴地层、近地面层和埃克曼层。贴地层中平均风速为零。在近地面层中风速随高度呈对数分布,湍流对动量、热量、水汽的铅直输送通量几乎不随高度改变,所以又称为常值通量层。埃克曼层中风随高度呈埃克曼螺线分布,湍流粘性应力和科里奥利力、水平气压梯度力几乎同等重要,而且这三个力基本上相平衡。
64、填空题 根据准地转位势倾向方程,高空槽前为正涡度平流区,等压面位势高度会(),槽区有冷平流,有利于槽()。
点击查看答案
本题答案:降低;加深
本题解析:试题答案降低;加深
65、名词解释 埃克曼抽吸
点击查看答案
本题答案:由于湍流摩擦作用,埃克曼层中风有指向低压一侧的分量,在低压上
本题解析:试题答案由于湍流摩擦作用,埃克曼层中风有指向低压一侧的分量,在低压上空产生辐合上升运动,同理在高压上空产生辐散下沉运动,这种上升下沉运动在边界层顶达到最强,这种现象称为称为埃克曼抽吸。
66、问答题 明涡度与环流的联系与区别?
点击查看答案
本题答案:涡度代表速度场的微分性质,如果说环流是流体旋转特征的宏
本题解析:试题答案涡度代表速度场的微分性质,如果说环流是流体旋转特征的宏观量度,那么涡度则是流体旋转特征的微观量度。
67、问答题 大气运动遵守那些定律?并由这些定律推导出那些基本方程?
点击查看答案
本题答案:大气运动遵守流体力学定律。它包含有牛顿力学定律,质量守
本题解析:试题答案大气运动遵守流体力学定律。它包含有牛顿力学定律,质量守恒定律,气体实验定律,能量守恒定律,水汽守恒定律等。由牛顿力学定律推导出运动方程(有三个分量方程)、由质量守恒定律推导出连续方程、由气体实验定律得到状态方程、由能量守恒定律推导出热力学能量方程、由水汽守恒定律推导出水汽方程。这些方程基本上都是偏微分方程。
68、问答题 证明p坐标下水平运动方程变形。
点击查看答案
本题答案:
试题答案

69、问答题 根据尺度分析的结果,说明大尺度运动有哪些特征?
点击查看答案
本题答案:大尺度运动具有准地转、准静力平衡、准水平、准水平无辐散
本题解析:试题答案大尺度运动具有准地转、准静力平衡、准水平、准水平无辐散、准定常。
70、填空题 旋转层结大气中可能出现的四种基本波动是()、()、()和()。
点击查看答案
本题答案:声波;重力波;惯性波;罗斯贝波
本题解析:试题答案声波;重力波;惯性波;罗斯贝波
题库试看结束后
微信扫下方二维码即可打包下载完整版《★农学》题库
手机用户可保存上方二维码到手机中,在微信扫一扫中右上角选择“从相册选取二维码”即可。
题库试看结束后微信扫下方二维码即可打包下载完整版《农学:动力气象学》题库,分栏、分答案解析排版、小字体方便打印背记!经广大会员朋友实战检验,此方法考试通过率大大提高!绝对是您考试过关的不二利器!
手机用户可保存上方二维码到手机中,在微信扫一扫中右上角选择“从相册选取二维码”即可。
微信搜索关注"91考试网"公众号,领30元,获取公务员事业编教师考试资料40G